Foro de preguntas y respuestas de Matemáticas

logo beUnicoos
Los foros de unicoos se han unificado en nuestra nueva plataforma beUnicoos. Para dejar nuevas preguntas deberás hacerlo allí, donde además podrás encontrar nuevas asignaturas y herramientas para ayudarte más con tus estudios.

  • icon

    Roger
    el 4/6/16
    flag

    Hola Unicoos mi proceso está bien, por FÓRMULA DE LEIBNIZ.. gracias

    replythumb_up0 voto/sflag
    icon

    David
    el 7/6/16

    Me encantaría ayudarte, pero no respondo dudas universitarias que no tengan que ver específicamente con los videos que ya he grabado como excepcion. Lo siento de corazón… Espero lo entiendas

    thumb_up0 voto/sflag
  • icon

    Pedro
    el 4/6/16

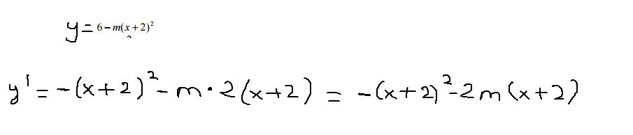
    Hola Unicoos. ¿Me podéis ayudar con esta derivada? No entiendo por que la tengo mal si aplico correctamente las propiedades de las derivadas:

    La derivada del primero por el segundo sin derivar mas el primero sin derivar por la derivada del segundo. Eso es lo que aplico. pero en la solución me sale que es -2m (x+2) . Por qué? ._.

    replythumb_up0 voto/sflag
    icon

    edwin prieto
    el 4/6/16

    ojo es una resta no un producto

    thumb_up1 voto/sflag
    icon

    edwin prieto
    el 4/6/16

    ademas recuerda que m es una constante como 1 o 4

    thumb_up1 voto/sflag
    icon

    Pedro
    el 4/6/16

    Muchas gracias. Al ver "m" la tome como una incógnita no como una constante. Me cuesta diferenciar la diferencia entre una constante y una incognita en esos casos :(

    thumb_up0 voto/sflag
    icon

    Axel Morales Piñón.
    el 4/6/16

    Va la ayuda Pedro...

    y=6-m(x+2)^2

    dy/dx= -2m(x+2)

    thumb_up0 voto/sflag
  • icon

    Guillermo
    el 4/6/16

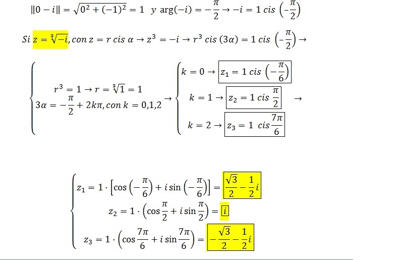
    Hola, tengo un problema con 3 ejercicios de números complejos, no se como calcular la raíz cúbica del número complejo -i porque no consigo pasarlo a forma polar, también como pasar a forma polar los números complejos 8 +0i y 0 +5i.
    Muchísimas gracias

    replythumb_up0 voto/sflag
    icon

    edwin prieto
    el 4/6/16

    hola recuerda que debes calcular el modulo y el argumento de cada complejo

    thumb_up0 voto/sflag
    icon

    Antonius Benedictus
    el 4/6/16

    Te explicamos cómo, Guillermo. Supongo que sabes trabajar con radianes y conoces cómo son las operaciones básicas en forma polar.

    thumb_up1 voto/sflag
    icon

    Guillermo
    el 5/6/16

    Todo claro, muchísimas gracias!!

    thumb_up0 voto/sflag
  • icon

    xortego
    el 4/6/16

    Hola a todos, tengo un problema de vectores, la verdad no he podido resolverlo, si alguno me pudiera ayudar en serio se lo agradecería mucho.
    Muchas gracias a todos.

    replythumb_up0 voto/sflag
    icon

    Antonius Benedictus
    el 4/6/16

    Te ayudamos, Xortego.

    thumb_up1 voto/sflag
  • icon

    Mariia
    el 4/6/16

    DIAGONALIZACIÓN DE MATRICES. Hola necesito saber... E [0] matriz de 3x3 , he obtenido que el valor propio es 0, pero tiene realmente? y si es así, cual es el vector propio??

    replythumb_up0 voto/sflag
    icon

    Antonius Benedictus
    el 4/6/16

    Los vectores propios asociados al autovalor 0 son los elementos del núcleo Ker(f) de la aplicación lineal asociada a la matriz dada. esto es, los vectores que cumplen:
    A·(x,y,z)^t =(0,0,0)^t


    thumb_up0 voto/sflag
  • icon

    antonella
    el 4/6/16

    Hola Unicoos me podrian ayudar con este problema de Relaciones ,no estoy muy segura de como hacerlo.

    replythumb_up0 voto/sflag
    icon

    Antonius Benedictus
    el 4/6/16

    Claro, Antonella.

    thumb_up1 voto/sflag
    icon

    antonella
    el 5/6/16

    Muchas gracias Antonio

    thumb_up0 voto/sflag
  • icon

    Alejandro
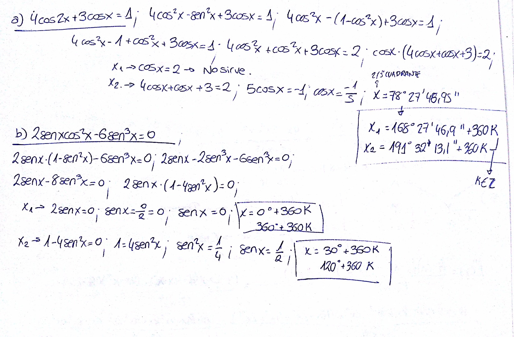
    el 4/6/16

    Aquí de nuevo ^^. ¿Me podéis decir en un momento si he hecho estas ecuaciones trigonométricas bien? Gracias :)

    replythumb_up0 voto/sflag
    icon

    Mariia
    el 4/6/16

    Creo que te has comido un 4 al principio

    thumb_up0 voto/sflag
    icon

    Alejandro
    el 4/6/16

    ¿Podrías concretar, por favor?

    thumb_up0 voto/sflag
    icon

    Antonius Benedictus
    el 4/6/16

    Te mandamos la corrección, Alejandro:

    thumb_up1 voto/sflag
    icon

    Alejandro
    el 4/6/16

    Los he revisado y ahora sí me dan lo mismo. Me comí el cuatro; como decías antes, María; y los ± de las raíces. ¡Millones de gracias! ^^.

    thumb_up0 voto/sflag
  • icon

    Nico
    el 4/6/16

    hola buenas tardes! Si tengo un conjunto de vectores que es LD, hay alguna manera de saber que vector del conjunto es el que es CL de los demas?


    replythumb_up0 voto/sflag
    icon

    Antonius Benedictus
    el 4/6/16

    Al hacer el rango de la matriz de coordenadas, son Lin.Ind. los vectores cuyas coordenadas forman parte del menor básico que proporciona el rango.

    thumb_up0 voto/sflag
    icon

    Mariia
    el 4/6/16

    Haz la escalonada reducida o simplemente la escalonada de la matriz .. por gauss- jordan o gauss. El vector combinación lineal será el de la fila de 0

    thumb_up0 voto/sflag
  • icon

    John
    el 4/6/16
    flag

    Hola,Porfavor necesito una ayuda con este problema de Relaciones(lo q no se, es si debo hacerlo por casos en presencia del ±), este fue mi avance, gracias

    replythumb_up0 voto/sflag
    icon

    David
    el 7/6/16

    Me encantaría ayudarte, pero no respondo dudas universitarias que no tengan que ver específicamente con los videos que ya he grabado como excepcion. Lo siento de corazón… Espero lo entiendas

    thumb_up0 voto/sflag
  • icon

    Lsslie
    el 4/6/16
    flag

    Hola, me podéis ayudar con estos dos ejercicios porfavor??? El hecho de que tenga que ser en un punto me lía . Gracias!

    replythumb_up0 voto/sflag
    icon

    Alejandro
    el 4/6/16

    Por lo que veo, te pide que calcules el valor de f(x) cuando ésta es -2 y 1. Tiene fácil solución. Simplemente, como te dice el enunciado, sustituye las x por el número que se te indica.

    a) 2x²+3x-1 en x=-2 → 2·(-2)²+3·(-2)-1 = 2·4-6-1 = 8-6-1 = 1.
    b)x+7/x-3 en x=1 → 1+7/1-3 = 8/-2 = -4.

    Si el enunciado te pide algo más avanzado que esto, concrétalo y te ayudaremos todo lo que podamos. Un saludo :).

    thumb_up0 voto/sflag
    icon

    Nico
    el 4/6/16

    Hola dAy, que te pide el ejercicio? calcular la derivada?

    thumb_up0 voto/sflag
    icon

    Rodrigo
    el 4/6/16

    Puede que sea la recta tangente en ese punto?

    thumb_up0 voto/sflag
    icon

    Lsslie
    el 4/6/16

    Me pide que usando la definición de derivada en un punto calcule esas funciones en los puntos que se indican. Las soluciones son a) -5 c) -5/2

    thumb_up0 voto/sflag