Ya de paso, os consulto de nuevo. No tengo profesor particular y este es el único medio que tengo para resolver mis dudas :(.
¿Me podéis decir si esta representación de funciones la he hecho bien? Es que hay pequeños detalles que me chirrían un poco. Siento si está un poco desordenado, pero es que este ejercicio también me lleva loco.
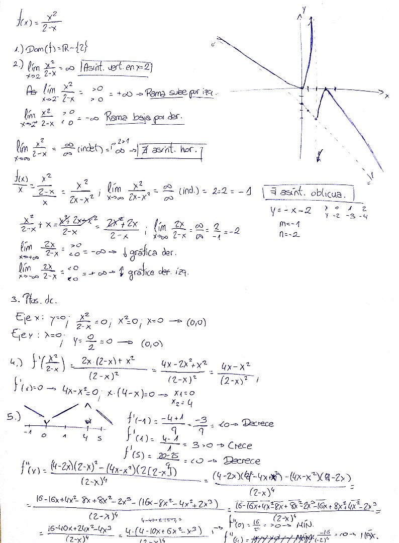
- si el único punto de corte con los ejes es el (0,0), la gráfica no debería pasar por el (3,0) tal como la has dibujado.
_ cuando calculas los puntos singulares, en este caso x=0 y x=4, es bueno calcular su y correspondiente para poder situarla en el gráfico. Así verías que tus puntos son (0,0) y (4,-8), este último no sale en tu gráfica.
_ para analizar los intervalos de crecimiento, hay que incluir los puntos de discontinuidad, en este caso el x=2 de la asíntota.
_ considerando todo lo anterior podrás corregir la parte "derecha" de tu gráfica que,ahora, está mal.
Saludos
Si te soy sincero, Enric, vuelvo a ver ahora la gráfica y no tengo ni idea de porqué la he hecho pasar por el punto (3,0). Agradezco muchísimo tu mensaje, has hecho que vea de forma muy clara mis errores. Volveré a hacer el ejercicio entero, a ver si esta vez me da.
Muchísimas gracias, César, también, por la gráfica. Había probado a meterla en páginas de representación de funciones online pero no me mostraban la parte de abajo.
Os agradezco a los dos vuestra ayuda :)
hola unicos, debo encontrar los intervalos de crecimiento, decrecimiento, máximos relativos y mínimos relativos de una función :
f(x)= 2 sen x + cos 2x (0< x

Observa bien la ecuación que has planteado correctamente:
2*cosx = 4*senx*cosx
ahora, con un pasaje de término queda expresada:
2*cosx - 4*senx* cosx = 0
luego, extrae factor común:
2*cosx*(1 - 2*senx) = 0
y después por anulación de un producto, puedes plantear que cada factor es cero en forma separada:
a) 2*cosx = 0
luego: cosx = 0, que has resuelto correctamente, porque se cumple para x = pi/2 y para x = 3*pi/2
y ahora te faltó plantear.
b) 1 - 2*senx = 0
que al pasar término y luego factor queda
senx = 1/2, que se cumple para x = pi/6 y para x = 5*pi/6.
Espero te haya ayudado, y debes recordar que la función es continua, y piden encontrar extremos en un intervalo cerrado, y por teorema, la función alcanza máximo absoluto y mínimo absoluto en el intervalo, que pueden corresponder con alguno de los cuatro que hemos encontrado, o con los extremos del intervalo.
Muy buenas noches Unicoos, tengo un problema he visto vídeos de integrales de arcotangente, pero este es con una variable al cuadrado, me podrían ayudar, se los agradezco mucho

Comienza por plantear un cambio de variable:
w = V(x), de donde queda: w^2 = x, y también queda:
dw = dx / (2*V(x)), de donde podemos ver que
dx = 2*V(x)*dw, para luego volver a sustituir la ráiz, para llegar al fin a: dx = 2*w*dw;
al sustituir en el integrando queda: 2*(w^5)*arctanw.
A partir de aquí puedes continuar con el método de las partes, que en su integral secundaria tendrá como integrando a:
(1/&)*(w^6 / (w^2 + 1) = (1/6)*(w^4 - w^2 + 1 - 1/(w^2 + 1)), luego de efectuar la división entre numerador y denominador de la expresion fraccionaria.
A partir de aquí, todas las integraciones son directas.
Espero haberte ayudado.
Hola, alguien me podia aconsejar o pasar algun material sobre integrales que muestren propiedades, y las reglas bien resumido y sencillo?
Ahh , en la pagina en la parte de material hay un archivo con integrales resueltos, alguien podria ayudarme a encontrar algun otro pero con integrales resueltas pero con un grado mayor de dificultad.
Desde ya gracias. saludos.
hola!! los sigo desde hace 2 años, por lo menos..realmente son UNICOS! mi pregunta es la siguiente: Debo hallar el conjunto de positividad y negatividad del polinomio P(x)=x^2-3.x^3+4. Gracias y saludos desde Argentina!!