Podéis ayudarme con este ejercicio? Me he quedado parado, no se como seguir ya que al intentar estudiar la posición relativa de las rectas me da una indeterminación.
Calcula la posición relativa de las rectas. Calcula si hace falta el punto de intersección o bien la recta perpendicular a estados y que las corte.
Este ejercicio me viene de perlas para el examen del lunes, así que intentaré resolver tu duda ;).
En principio, con los datos que se te dan, lo único que puede hacerse es el teorema del coseno, mediante el cual puedes averiguar la medida del lado b.
Una vez averiguada, ya puedes recurrir a utilizar el teorema del seno para hallar los datos que te faltan.
Te paso el ejercicio hecho por mí para que lo veas. Espero no haber cometido ningún error :P.
Hola David, tengo un problema y no se solucionarlo. Es un problema de estadística, de distribución bidimensional en el cual me piden que averigüe el coeficiente de correlación en una tabla en la que aparece "Xi" e "Yi", pero no "Fi", para calcular la N.
Te agradecería que me lo explicases o me hicieses referencia a algún vídeo tuyo que desconozca y lo expliques ANTES DE ESTE MARTES.
Gracias por leerlo.
PD: para aclararte el ejercicio, puedes encontrarlo dentro de este blog
https://docs.google.com/a/iesboliches.org/viewer?a=v&pid=sites&srcid=aWVzYm9saWNoZXMub3JnfG1hdGVtYXRpY2FzfGd4OjYzZmZmMjgxMDY1ZTZiMjc
en la pagian 299 el ejercicio 1
PERDONE POR LAS MOLESTIAS

Te sugiero veas este video... Distribucion bidimensional
A partir de ahí, se trata de que DESPUES DE IR A CLASE (ver los vídeos relacionados con vuestras dudas) enviéis dudas concretas, muy concretas. Y que nos enviéis también todo aquello que hayais conseguido hacer por vosotros mismos. Paso a paso, esté bien o mal. No solo el enunciado (pero dejanos una foto, no un link por favor). De esa manera podremos saber vuestro nivel, en que podemos ayudaros, cuales son vuestros fallos.... Y el trabajo duro será el vuestro. #nosvemosenclase Nos cuentas ¿ok?
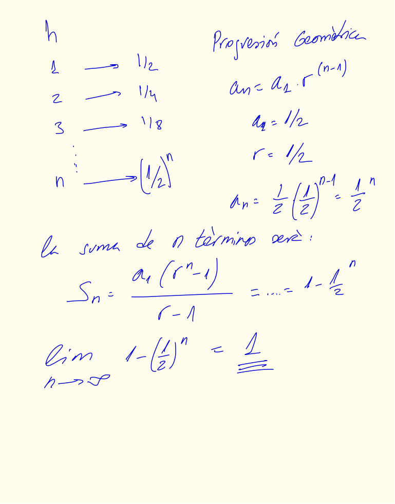
Ayuda por favor con este ejercicio de fracciones. "Una araña está trepando lentamente por una pared. Después de una hora, se encuentra a mitad del camino para llegar hasta arriba. Después de una hora más, cubre la mitad del camino restante, de manera que se encuentra a 2/4 del recorrido para llegar al final de la pared. En la próxima hora nuevamente recorre la mitad del camino restante, de manera que se encuentra a 7/8 el recorrido para llegar al final de la pared. Si este patrón continúa, ¿cuánto tiempo tardará la araña en llegar al final de la pared? Gracias.
En realidad es un problema de fracciones combinado con progresión geométrica. En la primera h recorre la mitad del camino total, en la segunda 1/4, en la tercera 1/8.... Es decir, no llega nunca!
Te paso el planteamiento donde veras la progresión, la suma de los 'n' primeros términos, y como hay que llegar al infinito para cubrir todo el camino.

Te sugiero estos vídeos.. Distribución normal
A partir de ahí, se trata de que DESPUES DE IR A CLASE (ver los vídeos relacionados con vuestras dudas) enviéis dudas concretas, muy concretas. Y que nos enviéis también todo aquello que hayais conseguido hacer por vosotros mismos. Paso a paso, esté bien o mal. No solo el enunciado. De esa manera podremos saber vuestro nivel, en que podemos ayudaros, cuales son vuestros fallos.... Y el trabajo duro será el vuestro. Nos cuentas ¿ok?
#nosvemosenclase ;-)