Hola profesores !!!! Tenia una duda sobre la definicion de limite, que dice que el numero δ depende del numero ε, y que hallado un numero δ que satisfaga la condicion de la definicion cualquier numero positivo δ prima menor que delta tambien la satisface. esa es mi duda cual es el numero delta prima gracias

Lo unico que puedo decirte, espero lo etiendas, es que repases los vídeos de esa lección... Espero solucionen tus dudas..
LIMITE aplicando la definición 01
No es ni una queja ni una duda... Si no todo mi agradecimiento y felicitaciones para Unicoos! Es uno de los mejores métodos de enseñanza que he tenido la suerte de probar!
Sigan haciéndonos crecer!!
Gracias!!! :D
No tiene que ver con la tematica del foro pero es una duda, ¿por qué nos lo ponen más difícil los politicos con asignaturas innecesarias como historia de España a los ciencias y en cambio los de letras no dan matemáticas y sin embargo pueden entrar en carreras de ciencias? Ustedes que son profesres tal vez lo entiendan.

Entiendo tu "queja" pero es importante conocer la Historia de España o saber algo de Filosofía, que no todo es matematicas, fisica o quimica...
Además "los de letras" no pueden entrar en ingeniería con la misma nota con los que entran los que han cursado CyT.... ANIMO!! No te frustres..
En mi época dabamos filosofía, latín e incluso una prueba extra que era un comentario de texto...

Platón es el gran filósofo de la Geometría.
Descartes, Newton, Gauss, Euler ,Bertrand Russell, y muchísimos otros, dominaban el latín y el griego clásicos.
La división (y contraposición) CIENCIAS-LETRAS es una de las muchas estupideces de la burocracia educativa,
Salutem plurimam, Jaime!
No me malinterpreten, me encanta la filosofia, en el anterior trimestre saqué un 10, es obvio que algo de cultural general sobre historia, literatura hay que tener pero el caso es que se podría no profundizar tanto y poner otras asignaturas de temática de ciencias de mayor interés, por ejemplo mejorar la asignatura de TIC, porque que me "enseñen" (entrecomillado porque ya lo sabía hacr) a hacer un power point no lo veo de gran utilidad para la carerra que me gustaría hacer, Ingeniería Informática. Aunque supongo que como todo en esta vida, hay que aguantar que acabará valiendo la pena. Muchas gracias por sus respuestas =)
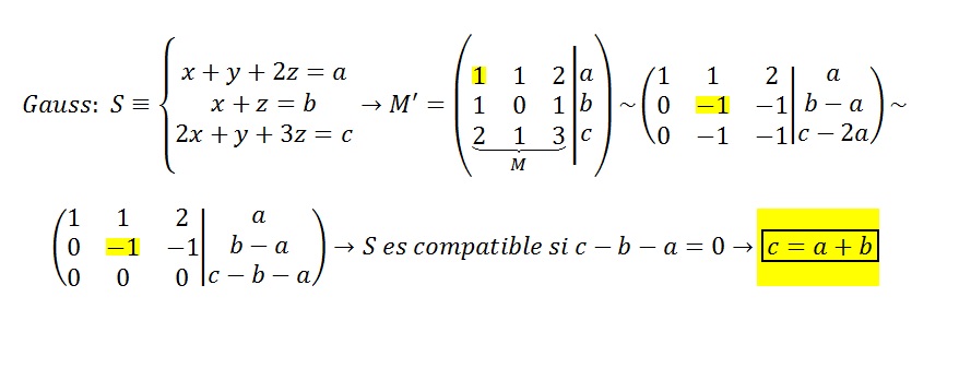
Me podrias ayudar con la resolucion de este ejercicio:
En el siguiente sistema de ecuaciones lineales determinar el valor de C para que el mismo sea compatible
x+y+2z=a
x+0y+z=b
2x+y+3z=C
Hallar las ecuaciones de las rectas de pendiente M=-3/4, que forman con los ejes coordenados un triangulo de 24 unidades de superficie.
Buenas, tengo dudas con el siguiente ejercicio:
representa gráficamente e indica el dominio y el recorrido de la siguiente función: g(x)=|-x^2+6x-5|
El dominio es |R ya que al ser un polinomio, da igual el valor que le das a la x, siempre te va a dar un número real. Respecto al recorrido, tienes que hallar la función inversa a g(x) y hallar su dominio. Ten cuidado a la hora de representarla porque es un valor absoluto, significa que aunque sustituyas la x por el 0 (por ejemplo) y te de -5, al final quedará +5 debido al valor absoluto, por tanto deberás "invertir" los valores cuando la función es negativa y ponerlos positivos. PD: Al ser una función cuadrática se trata de una parábola, tendras que hallar el vértice= -b/2a; siendo la función ax^2+bx+c. También los puntos de corte con el eje x igualando la función a 0.
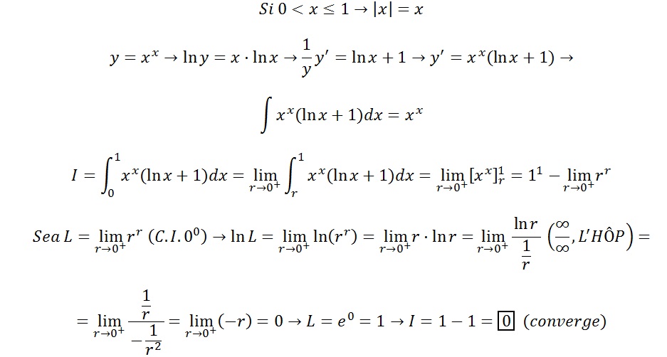
Buenos días, tengo dudas de como resolver esta integral impropia: integral de x^x(lnIxI+1) que va de 0 a 1, es el primer ejercicio

Me encantaría ayudarte, pero no respondo dudas universitarias que no tengan que ver específicamente con los videos que ya he grabado como excepcion. Lo siento de corazón… Espero lo entiendas
Es posible te ayuden estos vídeos... Integrales Impropias
Para que no digas... De 0 a 1, |x| =x... Y te quedará ∫ x^x (lnx+1) dx = x^x
hola, alguien me podria ayudar con estos dos ejercicios, o aconsegarme un video. Necesito ayuda mas que nada para el primer punto, que es el que mas me cuesta.
Muchas Gracias!!!

En el primero si representas los puntos rapidamente descubrirás que la función puede (o debe) ser decreciente (su derivada será negativa)
Por eso, sí, la derivada puede ser -1...
En el segundo, halla la ecuacion de una recta que pasa por esos puntos... Por ejemplo... Ecuación canónica o segmentaria de la recta O estos.. Funcion afin 01 (y=mx+n)
Para el 2b)... Teorema del VALOR MEDIO - LAGRANGE
Para el 2c)... Recta tangente y normal
A partir de ahí, se trata de que DESPUES DE IR A CLASE (ver los vídeos relacionados con vuestras dudas) enviéis dudas concretas, muy concretas. Y que nos enviéis también todo aquello que hayais conseguido hacer por vosotros mismos. Paso a paso, esté bien o mal. No solo el enunciado. De esa manera podremos saber vuestro nivel, en que podemos ayudaros, cuales son vuestros fallos.... Y el trabajo duro será el vuestro. #nosvemosenclase Nos cuentas ¿ok?