
Echale un vistazo.. Estadistica 01
Se trata de que DESPUES DE IR A CLASE (ver los vídeos relacionados con vuestras dudas) enviéis dudas concretas, muy concretas. Y que nos enviéis también todo aquello que hayais conseguido hacer por vosotros mismos. Paso a paso, esté bien o mal. No solo el enunciado. De esa manera podremos saber vuestro nivel, en que podemos ayudaros, cuales son vuestros fallos.... Y el trabajo duro será el vuestro. #nosvemosenclase Nos cuentas ¿ok?
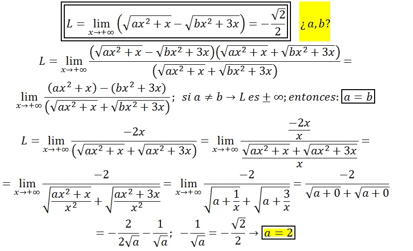
hola unicoos! me podrían ayudar con esta pregunta por favor
- Dada la función f(x,y)= cos(2x)+cos(2y)
a)Determinar los puntos críticos de la función.
b)Usando el criterio de la segunda derivada determinar los extremos de la función.
Buenas tardes, ¿alguien puede ayudarme con este ejercicio (o grabar un vídeo para el canal)?
Gracias ;)
Halla un vector de módulo 13 que sea perpendicular a los vectores u(24, 10, 7) y v(-12, -5, 8).