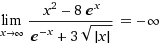
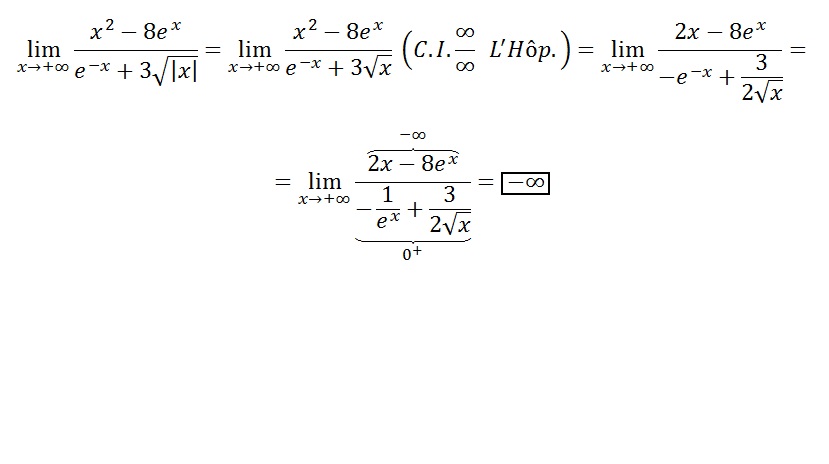
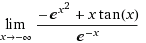
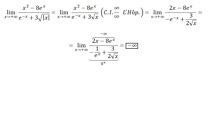
Hola, que tal, me podéis ayudar con este limite?
En la imagen sale la respuesta. Pero me gustaría me pudiesen ayudar con el procedimiento. Saludos.

Si admitimos un razonamiento intuitivo sobre infinitos, sí.
En el numerador hay una función cuadrática menos una exponencial. La exponencial va a infinito mucho más deprisa que la cuadrática. Por eso , el numeraor es un "menos infinito" con crecimiento exponencial.
En el denominador hay un infninitésimo (límite cero), que es 1/e^x más un infinito con radical cuadrático. El denominador va, pues, a "más infinito" (pero la raíz de x es un infinitésimio muy lento). Entonces, el cociente: (-∞(/(+∞) va a -∞, porque el infinito de arriba es "infintamente mayor".
Hola,buenos días profes!!. Alguno me podrá decir por favor si lo resolvi bien el ejercicio 11 ?.
Lo que hice fue decir que es continua por ser un polinómio, y aplique el teorema de Bolzano,
Primero: Definí la función y dije que si la ecuación tenia solución es porque tiene raíces
Segundo: Analice f(-2) y me dio resultado =-3/2 y f(1) =6/5
Entonces como f(a).f(b) es menor que cero existte por lo menos un punto c perteneciente al intervalo (,b) tal que f(c)=0. Por lo tanto, se cumple el teorema de Bolzano
¿Como se resolvería este ejercicio que contiene dos partes?
-Calcula una recta que corte perpendicularmente el eje OZ y además que pase por P(1,2,3).
-Analiza la posición relativa entre la recta r: x=y=0; y el plano π: x+y+az=1 según el parametro a.

Si corta perpendicularmente al eje z podemos asegurar que, por ejemplo, podría pasar por el punto (0,0,3)
Y con ese punto y el que te dan , obtener un vector director y luego la recta...
Para la posicion relativa... Posicion relativa de recta y plano 01
me piden los períodos de crecimiento y decrecimiento de esta función f(x)=(2x+1)/(e^x^2). Al hallar la derivada, factorizo y al hacer la tabla de valores me da distinto a como es realmente.
Mi pregunta es si la D[tag^3 (x+1)] es igual que si hacemos la D[tag (x+1)^3] que seria igual a 3 (tag (x+1))^2*1/cos^2(x+1).
y en la D[cos^3(x^3+1)]=D[(cos (x^3+1)^3]=3 (cos(x^3+1)^2 *3x^2*(-sen(x^3+1)

Espero que sea trigonometría, si es así se escribe Tan, no tag . del tercer paso en adelante no entiendo que quieres hacer. Pero en el segundo paso te has equivocado. Observa que el cubo perfecto ( es decir el exponente de Tan )., pertenece a la tangente no al angulo. Estaría bien así [Tan (x+1)]³
Saludos,
Holaa, soy nuevo aca, he visto mucho de sus videos me han ayudado.. Queria saber si me podrian ayudar con el estudio completo de la siguiente funcion ... x²⁄x²−x−2 me piden sacar dominio y rango , maximos y minimos, concavidad y convexidad, pts de corte, asintotas, primera y segunda derivada, crecimiento y decrecimiento ... por favor ayuda y saludos.

El dominio de la función son todos aquellos valores que hacen cero el denominador, te recomiendo igualar a cero el mismo y resolver la ecuación:-)
Pondrías Domf(x)= {x∈R/x≠ (valores que obtengas al resolver la ecuación) ...}
El rango de la función hay distintas maneras...
1.- Calcula la inversa de la función y obtén el dominio de la misma, es decir, el dominio de la inversa es el rango de la función original.
2.- Por el método gráfico

Si f(x) es dicha función entonces su dom f(x)=R-{0} rg f(x)= R-{-1} El dominio se halla operando la funcion es decir reduciendo. Pero en la funcion original no me permite tener en el denominador el 0, por eso su dominio es ese, entonces a cada valor de x le corresponde un unico valor de y o imagen, entonces al haber reducido y reemplazar el cero me da -1, por eso es dicho domnio. No existe concavidad ni convexidad, y no veo sentido hallar convexidad a una funcion, solo le veo sentido la concavidad, (x ejemplo una parabola es concava) por que la función es lineal al en todo su domnio.
Puntos de corte si x=0 e y=-1 el punto fuese (0,-1) pero no pasa la funcion por dicho punto ya que no pertenece a su dominio, entonces no existe pu to de corte en el eje y.,
E y=0 o f(x)=0 sustituyendo ese valor en la funcion y despejando da x=-1 el punto seria (-1,0) . Ese punto SÍ perten e al dominio. Entonces la funcion solo corta al eje x. No existen asintotas por que es una función polinomica, auq ue no parece por el denominador, solo ese denominador esta ahí para que x≠0
La primera y segunda derivada...
Reducida u operando... f(x)=-x-1
Entonces dy/dx=y'=-1
La segunda derivada y''=0 y aprovecho y te digo que f(x) es decreciente ∀x o en todo su dominio. Con solo ser f(x) reducida ss notable eso ya que su pendiente es negativa. Saludos.
Hola de nuevo.. echenme una mano o pista de como resolver un problema fuerte.
Demuestra que las tangentes a la hoja de Descartes x³+y³=3axy en los puntos de intersección con y²=ax son paralelas al eje de las y
Graciaaaaas maestros de unicos