Foro de preguntas y respuestas de Matemáticas

logo beUnicoos
Los foros de unicoos se han unificado en nuestra nueva plataforma beUnicoos. Para dejar nuevas preguntas deberás hacerlo allí, donde además podrás encontrar nuevas asignaturas y herramientas para ayudarte más con tus estudios.

  • icon

    Kevin Joel Leon Cabanilla
    el 15/5/16

    como resuelvo ,

    replythumb_up0 voto/sflag
    icon

    Axel Morales Piñón.
    el 16/5/16

    ¿Te piden algo? ó ¿solo simplificar la expresión?

    thumb_up0 voto/sflag
  • icon

    Antonio
    el 15/5/16
    flagflag

    Por favor ayuda con este ejercicio, no sé plantearlo

    replythumb_up0 voto/sflag
    icon

    David
    el 16/5/16

    Me encantaría ayudarte, pero no respondo dudas universitarias que no tengan que ver específicamente con los videos que ya he grabado como excepcion. Lo siento de corazón… Espero lo entiendas

    thumb_up0 voto/sflag
  • icon

    Deidara Stick.
    el 15/5/16

    Hello unicoos ayudenme con la primera derivada de la siguiente expresión sip.
    Tiene las variables en su exponente.
    (10^x)+(10^2x)+(100^2x)-10^(2y)=(10xy)^(10x)
    Les pido ayuda por que tiene su dificultad esta en el libro junto a los problemarios de desafío. Muchas gracias.

    replythumb_up0 voto/sflag
    icon

    Axel Morales Piñón.
    el 16/5/16

    Te va Deidara, si he metido la patita por favor házmelo saber:-) saludos...

    thumb_up0 voto/sflag
  • icon

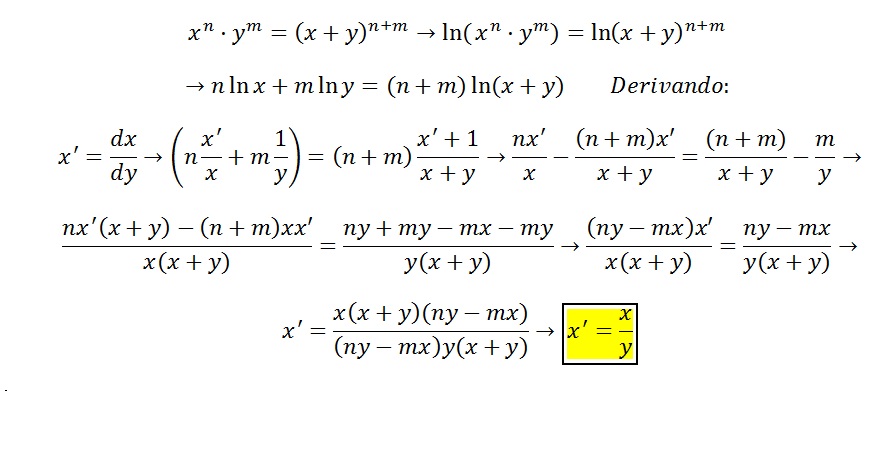
    jhon perez contreras
    el 15/5/16

    por favor ayúdenme
    tema de derivada implisita

    replythumb_up0 voto/sflag
    icon

    Antonius Benedictus
    el 15/5/16

    ¿Puedes poner foto del enunciado original, Jhon?

    thumb_up0 voto/sflag
    icon

    jhon perez contreras
    el 15/5/16

    esa es pero como no se veía bien lo trascribí

    thumb_up0 voto/sflag
    icon

    Antonius Benedictus
    el 16/5/16

    Aquí tienes, Jhon:

    thumb_up0 voto/sflag
  • icon

    Laura
    el 15/5/16

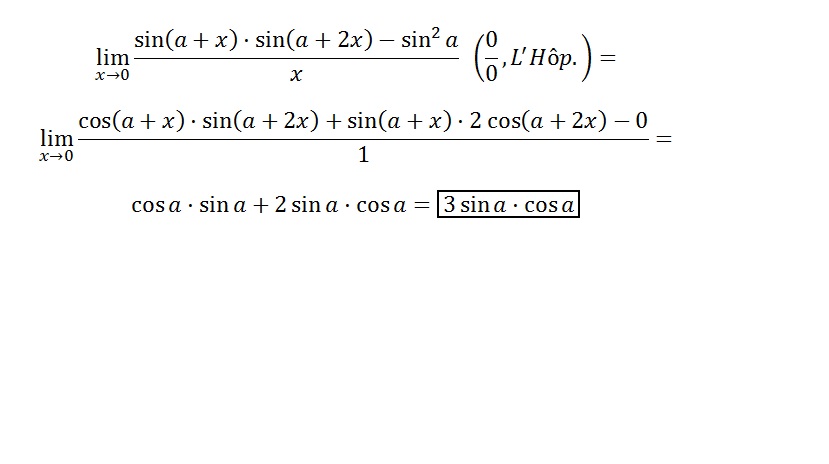
    Otra preguntica por el dia de hoy... Este limite no se si lo hice bien, tengo dudas con respecto al sen(a+ x) ya que no se si sea igual a sen(a) + sen(x), asi como lo hice en la imagen y luego aplique distributiva y me dio al final sen(a). Yo al principio lo habia resuelto aplicando Sen(a + x) = 2sen(a+x/2)cos(a-x/2) al igual que con sen(a+2x) Pero de ahi no supe como continuar

    replythumb_up0 voto/sflag
    icon

    Antonius Benedictus
    el 15/5/16

    No, Laura.
    sin(x+a)=sinx·cosa+cosx·sina

    thumb_up0 voto/sflag
    icon

    Sebástian
    el 15/5/16

    Esta mal, según la trigonómetria Sen (a+b)=Sen a Cosb + Cos a Sen b . Aplica esa identidad.

    thumb_up0 voto/sflag
    icon

    Antonius Benedictus
    el 15/5/16

    Te va:

    thumb_up0 voto/sflag
  • icon

    candy barrientos
    el 15/5/16
    flag

    Hola Me Podrían Ayudar con este problema plis

    replythumb_up0 voto/sflag
    icon

    David
    el 16/5/16

    No se ve bien la foto ni los datos... Eso por no decir que está inclinada... Siento no poder ayudarte...

    thumb_up0 voto/sflag
  • Usuario eliminado
    el 15/5/16

    Hola Unicoos! podrían decirme si voy haciendo bien el ejercicio? Me trabé y no sé cómo seguir. Muchas gracias!

    replythumb_up0 voto/sflag
    icon

    David
    el 16/5/16

    ¿Te obligan a hacerlo por GAUSS? ¿no puedes hacerlo por determinantes?...

    thumb_up0 voto/sflag

    Usuario eliminado
    el 19/5/16

    me piden que lo haga por Gauss

    thumb_up0 voto/sflag
  • icon

    Sebástian
    el 15/5/16

    Hola unicoos, necesito Ayuda, cuando calcule las asíntontas me dió lo esperado pero xq entonces corta la gráfica no se supone que la asíntota pasa cerca de la curva sin rozarla. Gracias.

    replythumb_up0 voto/sflag
    icon

    Antonius Benedictus
    el 15/5/16

    La curva "se pega sin rozar" a la asíntota en la correspondiente rama infinita. Pero pueden cortarse en algún valor.

    thumb_up0 voto/sflag
    icon

    César
    el 15/5/16

    fijate que segun crecen las x se cumple, y como ves si la puede cortar

    thumb_up0 voto/sflag
  • icon

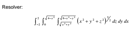
    edison coral
    el 15/5/16

    Como resulevo esto
    (x^2+y^2+z^2)^3/2. Alguien me podria ayudar?

    replythumb_up0 voto/sflag
    icon

    César
    el 15/5/16

    Algo pedirán Edison

    thumb_up0 voto/sflag
    icon

    edison coral
    el 15/5/16

    es esta integral

    thumb_up0 voto/sflag
  • icon

    Marco Antonio
    el 15/5/16

    Hola como reduzco esta ecuación de la hipérbola a su forma canónica:

    9x^2 -2y^2=1

    o si ya está bien así, como obtengo a y b de la expresión

    replythumb_up0 voto/sflag
    icon

    César
    el 15/5/16

    x²/(1/9)-y²/(1/2)=1

    thumb_up0 voto/sflag