Hoola! ¿Cómo hago el apartado d de este ejercicio? es que al hacer la derivada, me queda x=0 y ese valor está +1 y -1, que son los puntos donde no existe la función, ¿cómo lo hago?

Pero el 0 si pertenece al dominio. Recuerda que los puntos +1 y -1 son los únicos que no pertenecen al dominio, pero no quiere decir que un punto entre ellos tampoco pertenezca. El punto que encontraste (0,2) es un máximo, te recomiendo utilizar un graficador para que puedas visualizarlo :)
Hola Natalia,
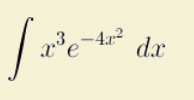
Es una integral por partes. Como te comentaron antes, utiliza la regla ALPES para asignar u y v.
Puedes mirar los pasos en el siguiente enlace:
https://es.symbolab.com/solver/indefinite-integral-calculator/%5Cint%20%5Cleft(x%5E%7B3%7D%5Cright)%5Ccdot%20e%5E%7B%5Cleft(-4x%5E2%5Cright)%7Ddx/?origin=button
Un saludo.
Hola, de nuevo yo.
No tengo profesor que me ayude corrigiendo mis ejercicios porque estoy por dar mate a final y la universidad hace que me las arregle sola.
¿Podrían decirme si este ejercicio esta... como este?
Ojo que -16-16=32, no 16, al número 0 no se le pone ningún signo y -2.1+2=-0.1, no 0.
De todas formas te digo un truco para que no tengas que hacer todo eso:
El infinito de cada uno de los numeradores de cada límite lateral será siempre del mismo signo "k" en la indeterminación k/0.
Sabiendo esto solo has de calcular el signo del denominador el cual, efectivamente tienes bien porque saldrá cada uno de un signo distinto.
En definitiva: Tienes que repasar los cálculos, sobre todo en universidad, y este límite al final sale que no existe límite. Eso lo tienes correcto.
Un saludo.
Me imagino que estás con los intervalos de crecimiento y decrecimiento, máximos relativos y puntos de inflexión ¿no?
Para calcular crecimiento y decrecimiento debes hacer la derivada primera, igualarla a 0 y despejar "x". En caso de fracción opera solo con el numerador.
La derivada de f/g es (f'·g-f·g')/g². Me parece ver que solo tienes f' (el numerador solo, me refiero).
La segunda derivada se hace para calcular los puntos de inflexión. Sabes como se hacen porque veo que está bien el método, pero te van mal al sacar mal la derivada primera.
Hago yo el ejercicio y te lo paso para que le eches un vistazo ¿te parece?
Hola Alien.
Que alguien me corrija si me equivoco, pero creo que van por aquí los tiros:
Te sale una indeterminación de ∞/∞. Yo estas las resuelvo por orden de infinitud. Si el exponente de las "x" es mayor en el numerador -> signos iguales = ∞ , signos distintos = -∞; si es en el denominador = 0, y si son iguales por el número que multiplique la "x" en numerador y denominador. por ejemplo: 2x/2x ese limite sería 2/2=1. No sé si me explico.
Calculando a mi me da que m=-3, pero repito, si me equivoco que me corrijan, que para eso está el foro
Un saludo.
Hola, agradecería mucho que alguien me aclarase como elegir la "u" en el método de intergación por partes. Mi profesor de matemáticas nos enseñó una regla llamada LIATE (logarítmicas, inversas, algebraicas, trigonométricas y exponenciales) pero he visto otras llamadas ILPET y ALPES y me he liado un poco.