Hola, pueden explicarme como resolver este ejercicio, tengo otros parecidos, pero no he podido hacerlos, se los agradeceria
En un crédito por valor de $5.000.000 financiado a una tasa de interés del 2% periódico mensual vencida, por medio de 8 cuotas mensuales que crecen un 1% cada mes, el valor de los intereses pagados en el mes 2 es
Seleccione una:
a. $100.000,00
b. $88.806,03
c. $9.687,76
d. $72.955,51

Dos vectores son paralelos si son proporcionales.. el vector AB(2-m, m-2,4)... el vector BC(3,3-m,-3)...
Estarán alineados si se cumple que 3/(2-m)=(3-m)/(m-2)=-3/4.... Si 3/(2-m)=-3/4.... -4=2-m...... m=6...
Deberás comprobar que si m=6 tambien se cunmple que (3-m)/(m-2)=-3/4, y así es....
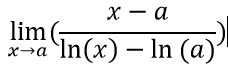
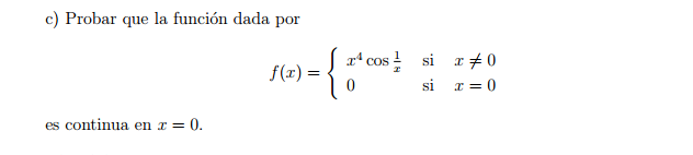
me podrian decir si esta bien lo que hice? si f es cont en 0, se cumple que |x-0|< k - > |0-0|< e -> |0|< e

Me encantaría ayudarte, pero no respondo dudas universitarias que no tengan que ver específicamente con los videos que ya he grabado como excepcion. Lo siento de corazón… Espero lo entiendas..
P.D. Es posible te vengan bien estos vídeos que grabé como excepción... Volumen de revolución

Echales un vistazo.. Teorema de Rouche
A partir de ahí, se trata de que DESPUES DE IR A CLASE (ver los vídeos relacionados con vuestras dudas) enviéis dudas concretas, muy concretas. Y que nos enviéis también todo aquello que hayais conseguido hacer por vosotros mismos. Paso a paso, esté bien o mal. No solo el enunciado. De esa manera podremos saber vuestro nivel, en que podemos ayudaros, cuales son vuestros fallos.... Y el trabajo duro será el vuestro. Nos cuentas ¿ok? #nosvemosenclase ;-)
Esta bien David, hice este avance, lo envio, sin embargo la respuesta es otra( a=-1/3 y a=6) ,bueno a mi me salio a=1, ( lo hice con matriz aumentada, para hallar los rangos(GAUSS), y la teoria dice que el rango de los coeficientes tiene que ser diferente a rango de la matriz aumentada para que sea inconsistente o incompatible)... en que falle??....gracias por el consejo :)
hola, tengo una duda, me dice obtener el valor de B real para que r sea paralela a r'
r:(x,y,z)=t.(-2,1,2) + (1,-3,-4)
r':(x,y,z)=k.(B,-B+2,-B) + (0,-3,1)

Echale un vistazo... Posicion relativa de dos rectas en R²
Serán paralelas si los vectores son proporcionales, es decir si se cumple que -2/B=1/(2-B)=2/(-B)....
Por tanto 1/(2-B)=-2/B.... B=-4+2B... -B=-4..... B=4....
Hola unicoos buenas he hecho este ejercicio pero no se como hallar el valor de que satisfaga la igualdad, si me ayudan a encontrar mi fallo se los agradecería:))