Hola Unicoos, me están complicando estos problemas de matemática financiera: "INTERES COMPUESTO"
1- Si coloco un capital durante 14 trimestres obtengo $ 22.609, mientras que si lo coloco durante 19 trimestres el monto que obtengo asciende a $ 30.256. Determinar el capital depositado y la tasa de interés utilizada
2- Calcular el valor de un capital que, colocado durante 17 meses al 2% mensual, produce a interés compuesto un monto superior en $ 60 al que hubiera producido colocado a interés simple en las mismas condiciones.
3- Determinar cuanto debo depositar hoy al 3,5% mensual para poder retirar $ 10.000 dentro de 3 meses y dentro de 10 meses retirar la misma suma que deposito hoy, de manera que la cuenta queda sin saldo.
4-Un amigo quiere que su hijo Juan retire dentro de 10 meses la mitad de lo que su otro hijo, Pedro, retirará dentro de 20 meses, para lo cual deposita $ 15.000 al 6% mensual. Se desea saber cuánto le corresponde a Juan y a Pedro.
Desde Ya Gracias!!

Lo siento pero no se trata de que os hagamos los deberes de 4 en 4....
Se trata de que DESPUES DE IR A CLASE (ver los vídeos relacionados con vuestras dudas) enviéis dudas concretas, muy concretas. Y que nos enviéis también todo aquello que hayais conseguido hacer por vosotros mismos. Paso a paso, esté bien o mal. No solo el enunciado. De esa manera podremos saber vuestro nivel, en que podemos ayudaros, cuales son vuestros fallos.... Y el trabajo duro será el vuestro. #nosvemosenclase Nos cuentas ¿ok?
Echale un vistazo a este video y nos cuentas ¿ok?... Interes Simple y Compuesto
Claro, ya vi el vídeo; pero eso ya lo sé!
Por eso te puse que estos problemas me estaban complicando porque no se como plantearlos, en el primero yo lo había hecho con propiedades de los logaritmos, pero el profesor me dijo que no se hace así, a pesar de que me dio el mismo resultado.
Y en cuanto a los otros tres, no se como plantearlos para poder formar una ecuación y así resolverlos!..
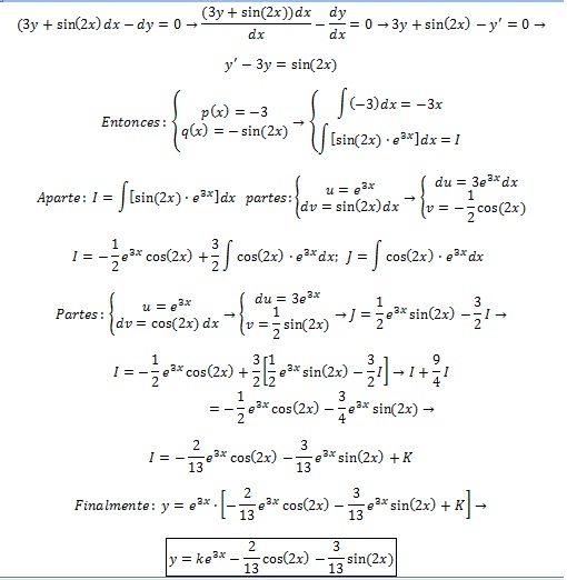
Me podrían ayudar con este ejercicio de ecuación diferencial lineal? No entiendo porque no me dan ninguna y prima o dy/dx por eso no se como hacerlo.
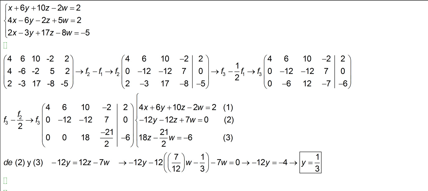
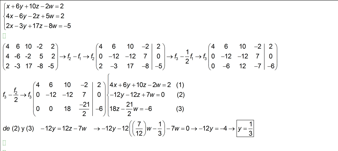
Hola!!!, el ejercicio q no logro resolver es, 4x+6y+10z-2w=2
4x-6y-2z+5w=2
2x-3y+17z-8w=-5
Resuelvo por Gauss Jordan y me queda, SCI
x-3/2y+5/2z-1/2w=-1/2
-12z+7w=4
12z-7w=-4
y la verdad no termino de entender cómo saco el valor de Y, si le doy nombre de por ejemplo K a la w, pero al no quedarme escalonada no identifico cuál sería Y. Ojalá me puedas responder hoy porq es mi parcial, sino igual me sirve
Mil Gracias

Tus dudas son universaitarias y unicoos por ahora se queda en bachiller, aunque a veces haga excepciones. De este tema, por cierto tienes varios vídeos que te ayudaróian bastante, todos los de algebra universitaria, algunos muy muy parecidos... Subespacios vectoriales Álgebra
Por otro lado, se trata de que DESPUES DE IR A CLASE (ver los vídeos relacionados con vuestras dudas) enviéis dudas concretas, muy concretas. Y que nos enviéis también todo aquello que hayais conseguido hacer por vosotros mismos. Paso a paso, esté bien o mal. No solo el enunciado. De esa manera podremos saber vuestro nivel, en que podemos ayudaros, cuales son vuestros fallos.... Y el trabajo duro será el vuestro. #nosvemosenclase Nos cuentas ¿ok?
tienes que hallar el vector en ambos casos. En el caso primero solo tienes que ver el paralelo. El el segundo caso hallas el vector y al expresarlo en forma general y los terminos a b y c de la recta son las coordenadas del vector perpendicular. Recta Paralela y Perpendicular

Halla la ecuacion de la recta que pasa por esos dos puntos... Ecuacion de la recta en R²
Y despues, la distancia de tu punto a la recta obtenida... Distancia de un punto a una recta en R²
Para el segundo, exactamente lo mismo... Tu recta sería (x-0)/2=(y-0)/(-3).... -3x=2y... 3x+2y=0...
Se trata de que DESPUES DE IR A CLASE (ver los vídeos relacionados con vuestras dudas) enviéis dudas concretas, muy concretas. Y que nos enviéis también todo aquello que hayais conseguido hacer por vosotros mismos. Paso a paso, esté bien o mal. No solo el enunciado. De esa manera podremos saber vuestro nivel, en que podemos ayudaros, cuales son vuestros fallos.... Y el trabajo duro será el vuestro. #nosvemosenclase Nos cuentas ¿ok? ANIMO! BESOS!
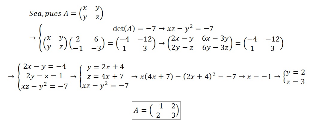
Hola unicoos, me ayudan con este ejercicio?. Entiendo que si es simetrica el elemento a12 y el a21 deben ser los mismos, pero ahi me quedo, nose que dato me aporta saber el determinante... Gracias!
Hay que ver, profesor Cesar, que bien copiamos la respuesta de la solución del señor Vicente Vicario García . he escrito en Google la primera frase y a salido el pastel . Estos días atrás también le he escrito diciendo que sus soluciones eran de perogrullo y también la solución que nos dio después era un copia y pega de otra página web.yo cuando no se algo lo busco por Internet como todo el mundo pero al menos doy la referencia de donde lo he sacado .un saludo crack.