POR FAVOOR me pueden ayudar con estos ejercicios, es muy importante he hecho bastantes parecidos pero estos tres no me salen

Se trata de que DESPUES DE IR A CLASE (ver los vídeos relacionados con vuestras dudas) enviéis dudas concretas, muy concretas. Y que nos enviéis también todo aquello que hayais conseguido hacer por vosotros mismos. Paso a paso, esté bien o mal. No solo el enunciado. De esa manera podremos saber vuestro nivel, en que podemos ayudaros, cuales son vuestros fallos.... Y el trabajo duro será el vuestro. #nosvemosenclase Nos cuentas ¿ok?
Como los que pides tienes varios videos, casi identicos... Echale un vistazo.. Limites infinito - infinito Limite UNO ELEVADO a INFINITO Y despues resolver el limite que te quede (del tipo INFINITO/INFINITO)...
P.D. En el primero te tocará pasar la expresión a comun denominador.. Expresiones algebraicas Límite infinito / infinito
Hola unicoos, alguien podria ayudarme a resolver este ejercicio? Estoy atascado por el numero e. Gracias de antemano.
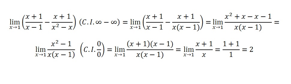
Hola unicoos, estoy un poco bloqueado,no consigo resolver estos ejercicios,he mirado los videos relacionados,pero a la hora de hacerlos yo no se si voy por buen camino y en otros me quedo bloqueado ya que me cuesta,el ejercicio es el adjunto en la foto,el apartado b) y c) los dos últimos.
Buenas tardes, quería pedirles que me ayudasen a hacer el apartado b, que he intentado hacer pero me quedo atascado. Muchas gracias.
hola buenos dias, tengo esta duda que me imposibilita realizar un ejercicio, que condiciones de cumplir una funcion a trozos para que sea invertible?