Foro de preguntas y respuestas de Matemáticas

logo beUnicoos
Los foros de unicoos se han unificado en nuestra nueva plataforma beUnicoos. Para dejar nuevas preguntas deberás hacerlo allí, donde además podrás encontrar nuevas asignaturas y herramientas para ayudarte más con tus estudios.

  • icon

    yacky
    el 2/5/16

    Buenas!! Podeis ayudarme¿? estoy ayudando a un amigo para presentarse a la prueba de acceso para mayores de 25 años. He visto los videos que hay sobre radicales, pero tengo algunas dudas.
    Os pongo los ejercicios y apartados en los que tengo duda
    ejercicio 2 (D) multiplico el dividendo por 3al cuadrado raiz de 3¿?
    2 (F)
    4 (D)
    Los demas creo que los he hecho

    replythumb_up0 voto/sflag
    icon

    matias
    el 3/5/16

    Aqui estan todos

    thumb_up1 voto/sflag
    icon

    yacky
    el 3/5/16

    matias, en el ultimo apartado, la raiz de 6 es, raiz quinta de 6, entonces primero tendria que poner el mismo indice en todas las raices¿?

    thumb_up0 voto/sflag
    icon

    matias
    el 4/5/16

    Estas seguro que el 5 no es del ejercicio de arriba?

    thumb_up0 voto/sflag
  • icon

    Roberto
    el 2/5/16
    flag

    hola unicoos, alguien me podria decir como solucionar esto?

    replythumb_up0 voto/sflag
    icon

    matias
    el 3/5/16

    Aca esta

    thumb_up0 voto/sflag
  • icon

    lbp_14
    el 2/5/16

    Hola Unicoos,
    Mi duda es por qué el Recorrido de esta función es (0, ∞)
    El 0 no debería estar incluido y representado por un corchete?
    Muchas gracias.

    replythumb_up0 voto/sflag
    icon

    Antonius Benedictus
    el 3/5/16

    En efecto, el 0 está incluido en el recorrido.

    thumb_up1 voto/sflag
  • icon

    Alex Rubiano
    el 2/5/16

    Podríais hacer un vídeo explicando las funciones polinomicas?

    replythumb_up1 voto/sflag
  • icon

    Ainhoa
    el 2/5/16
    flag

    Hola, ¿podéis hacer un vídeo explicando las funciones exponenciales sin darles valores a la "x" y a la "y"?
    Es que el jueves tengo examen y no las entiendo, por favor.
    Gracias.

    replythumb_up0 voto/sflag
    icon

    Borja
    el 3/5/16

    icon

    Ainhoa
    el 4/5/16

    No es lo que buscaba, a mi no me hace falta saber el domionio, asintotas, etc

    thumb_up0 voto/sflag
  • icon

    Ivan
    el 2/5/16

    hola, podrian ayudarme a expresar esta funcion como una a trozos y a hacer su derivada?

    replythumb_up0 voto/sflag
    icon

    César
    el 2/5/16

    Va Ivan

    thumb_up0 voto/sflag
    icon

    Ivan
    el 3/5/16

    gracias, otra consulta, y al hacer su derivada las condiciones en donde es positiva o negativa se mantienen?

    thumb_up0 voto/sflag
  • icon

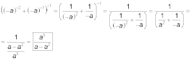
    Ainhoa
    el 2/5/16

    Hola, ¿alguien me puede enseñar como puede solucionar esta operación con potencias paso a paso?
    El resultado es: a²⁄1-a

    replythumb_up0 voto/sflag
    icon

    César
    el 2/5/16

    Va ainhoa

    thumb_up1 voto/sflag
  • icon

    Facundo Meier
    el 2/5/16

    Por favor, me pueden decir como hago para graficar la función f(x)= |x|/x

    replythumb_up0 voto/sflag
    icon

    Antonius Benedictus
    el 2/5/16

    Si x>0, f(x)=1
    Si x<0, f(x)=-1, pues el valor absoluto de x es -x.
    En x=0 no está definida (y hay discontinuidad de salto).

    thumb_up0 voto/sflag
    icon

    Facundo Meier
    el 15/5/16

    Muchas gracias

    thumb_up0 voto/sflag
  • icon

    Carmen Cerdeña
    el 2/5/16

    POR FAVOOR me pueden ayudar con estos ejercicios, es muy importante he hecho bastantes parecidos pero estos tres no me salen.
    Si me pudierais ayudar,es importante,lo he intentado pero no me salen :(

    replythumb_up0 voto/sflag
    icon

    Karolina Morales Porres
    el 2/5/16

    Hola, solo me han salido el a y el c, espero que te sirva de algo.

    thumb_up1 voto/sflag
    icon

    César
    el 2/5/16

    Mirate este video y nos cuentas
    https://www.youtube.com/watch?v=39Q1ZwI9cFY

    thumb_up1 voto/sflag
    icon

    Carmen Cerdeña
    el 2/5/16

    Muchísimas gracias Karolina,muy amable :) que a mi se me da fatal esto de los límites y tengo un examen reciente que es muy probable que me salgan estos ejercicios

    thumb_up1 voto/sflag
    icon

    Carmen Cerdeña
    el 2/5/16

    Gracias César ya lo he mirado,pero cuando lo voy ha hacerlo no logro resolverlo,algunos si pero estos no

    thumb_up0 voto/sflag
    icon

    Daniel Chicana Zapata
    el 3/5/16

    Te paso la b,,espero que lo entiendas por la propiedad:

    thumb_up0 voto/sflag
    icon

    Carmen Cerdeña
    el 3/5/16

    Muchas gracias Daniel muy amable :) ahora ya entiendo

    thumb_up0 voto/sflag
  • icon

    Joaquin Martinez
    el 2/5/16

    hola, queria saber cual es la aplicacion del teorema de valores intermedios. gracias

    replythumb_up0 voto/sflag
    icon

    Antonius Benedictus
    el 2/5/16

    Por ejemplo, ésta:

    thumb_up0 voto/sflag
    icon

    Antonius Benedictus
    el 2/5/16

    Continúa:

    thumb_up0 voto/sflag