hola, tengo una duda, cual seria la condición para que una funcion no tenga extremos absolutos? (comento: tengo que resolver un ejercicio en el que me dan una funcion a trozos y me piden que calcule los valores de un parametro ''a" para que la funcion sea continua y no tenga extremos absolutos)
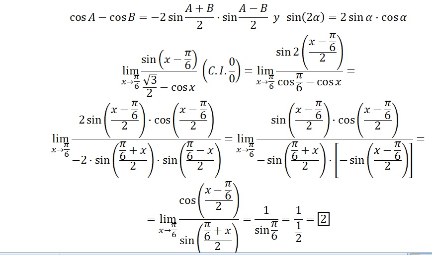
Hola, necesito ayuda con este limite, no me da 2... Realmente no me da ningun valor... Calcule el Sen(x - π/6) Por la formula, luego aplique los angulos y la doble c y me quedo una fraccion que no le veo manera de continuar, decidi aplicarle la conjugada y nada...
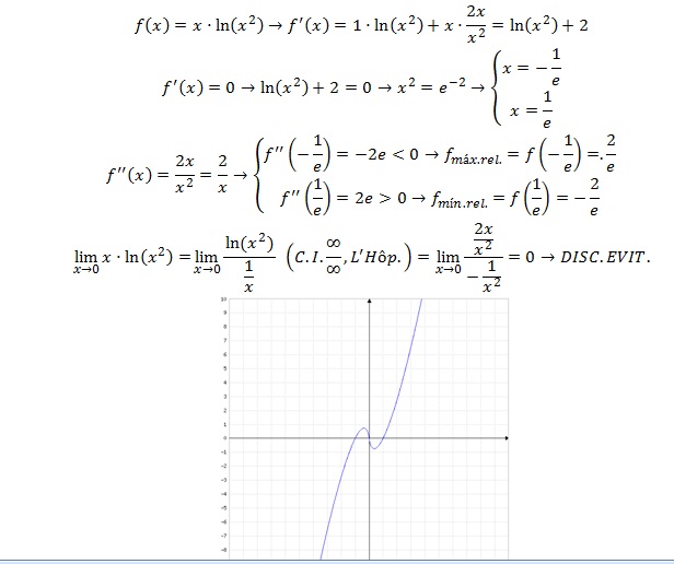
Hola! Tengo problemas al graficar esta función ƒ(x)= xlnx²: sé que tiene un máximo en x=-1/e y un mínimo en x=1/e. Para obtener el punto evalúo la función en -1/e y en 1/e y me da |1/e| en ambos casos, es decir,|0.36788|. El problema es que al graficarla me da que la imagen del punto debería estar cerca entre 0.7 y 0.8 y no sé qué estoy haciendo mal...Muchas gracias!! :)
PD: mi duda de mi mensaje anterior sobre concavidad y convexidad ya está solucionada ;)
Mil millones de gracias!!!!
Ya entendí de dónde sale el 2/e. Al principio lo hice con la calculadora y esta "interpretaba" que era x (lnx)² y no x ln(x)² y de ahí tu pregunta supongo. Ahora ya lo veo claro y efectivamente 2/e = 0.7358. Además el resto me ha servido para comprobar que lo que tenía hecho era correcto ;) Como siempre, miles de gracias por la ayuda!! :)
Buen día, una ayuda con estos ejercicios, soy similares, podrían explicarme uno, por favor. gracias. :)

¿Nos envías al menos un dibujo ? Se trata de que DESPUES DE IR A CLASE (ver los vídeos relacionados con vuestras dudas) enviéis dudas concretas, muy concretas. Y que nos enviéis también todo aquello que hayais conseguido hacer por vosotros mismos. Paso a paso, esté bien o mal. No solo el enunciado. De esa manera podremos saber vuestro nivel, en que podemos ayudaros, cuales son vuestros fallos.... Y el trabajo duro será el vuestro. #nosvemosenclase Nos cuentas ¿ok?
Buenas tardes, quería preguntarles cómo contesto a esta pregunta. Me dicen: "En un arco de herradura hay una relación muy simple entre el radio r, la altura h que baja el arco respecto al nivel del centro del radio y el ángulo α que baja el arco en cada lado respecto a la semicircunferencia. Encuentra esa relación."
He intentado encontrarla pero no lo consigo. Aquí les dejo el dibujo para que lo entiendan mejor. Muchas gracias.
He intentado encontrarla pero no lo consigo. Aquí les dejo el dibujo para que lo entiendan mejor. Muchas gracias.">![]()