Foro de preguntas y respuestas de Matemáticas

logo beUnicoos
Los foros de unicoos se han unificado en nuestra nueva plataforma beUnicoos. Para dejar nuevas preguntas deberás hacerlo allí, donde además podrás encontrar nuevas asignaturas y herramientas para ayudarte más con tus estudios.

  • icon

    Lorena
    el 1/5/16
    flag

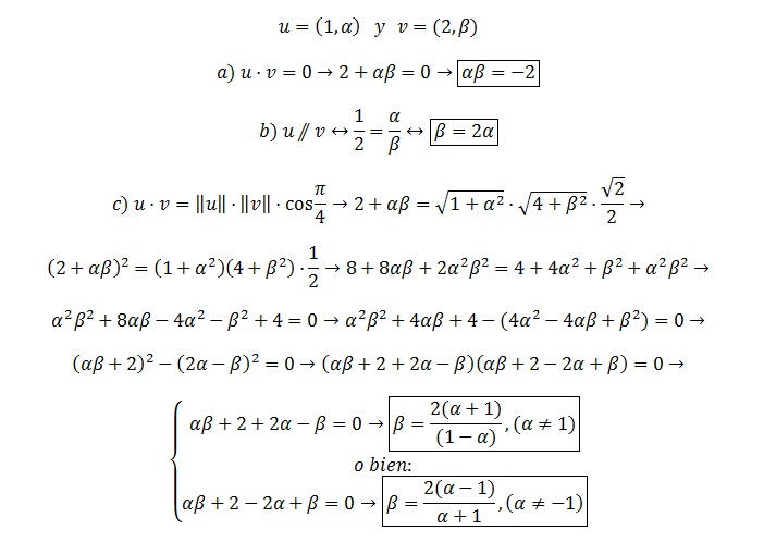
    Un saludo cordial, podrían ayudarme con la resolución de este ejercicio de ÁlgebraLineal, agradezco de antemano.

    replythumb_up0 voto/sflag
    icon

    Antonius Benedictus
    el 1/5/16

    Te ayudamos, Karen. El último apartado ya puedes hacerlo tú:

    thumb_up1 voto/sflag
    icon

    César
    el 1/5/16

    Usa el producto escalar entre vectores
    PRODUCTO ESCALAR y VECTORIAL de dos vectores

    thumb_up1 voto/sflag
  • icon

    Nacho
    el 1/5/16

    Me pico una duda, como puedo calcular un arcotangente sin calculadora ? es muy dificil?

    replythumb_up0 voto/sflag
    icon

    Nico
    el 1/5/16

    tenes que saberte las razones trigonométricas Nacho, obviamente que de esa manera solo podras sacar ciertos ángulos...

    thumb_up0 voto/sflag
    icon

    Nacho
    el 1/5/16

    Gracias compatriota Nico, cual serian esas razones trigonometricas.. esas del sen^2 + cos^2 = 1 y bla bla jee ??

    thumb_up0 voto/sflag
  • icon

    Nacho
    el 1/5/16
    flag

    Una ayudita con este...

    replythumb_up0 voto/sflag
    icon

    Antonius Benedictus
    el 1/5/16

    Nacho, solo son correctas la II y la IV. Te mostramos:

    thumb_up0 voto/sflag
    icon

    Nacho
    el 1/5/16

    Porque se baja por 1 ruffini????

    Y a su vez, no entendi de donde se obtiene el z^2 -2z +2 ??

    thumb_up0 voto/sflag
    icon

    Antonius Benedictus
    el 1/5/16

    Para factorizar un polinomo, las posibles raíces enteras son divisores del término independiente. Probé con 1,-1,2,-2,5, -5, 10 y -10. Solo valió 1. Entonces p(z) es visible ente z-1.
    Del polinomio z^2 -2z +2 se pregunta más adelante si es divisor de p(z). Había que probarlo.

    thumb_up0 voto/sflag
  • icon

    lara
    el 1/5/16
    flag

    hola por favor alguien podria ayudar no entiendo el enunciado gracias =)

    replythumb_up0 voto/sflag
    icon

    Antonius Benedictus
    el 1/5/16

    Va, Lara:

    thumb_up0 voto/sflag
  • icon

    Nico
    el 1/5/16

    hola , tengo una duda que no se como afrontar, como pruebo que la funcio |f(x)|=|x| para todo x perteneciente a los reales , es continua en cero?

    replythumb_up1 voto/sflag
    icon

    Antonius Benedictus
    el 1/5/16

    Imagino qu precisas la justificación formal, Nico:

    thumb_up0 voto/sflag
    icon

    Nico
    el 1/5/16

    gracias Antonio!

    thumb_up0 voto/sflag
  • icon

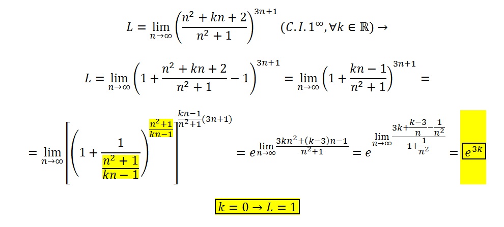
    Chivi Iacovone
    el 1/5/16

    SOS. tengo otra consulta. me piden calcular el limite y hallar el valor de K, tal que el limite de la sucesion sea 1. Pero segun mi planteo, llego a que cualquier k natural, el limite es 1.

    replythumb_up0 voto/sflag
    icon

    Antonius Benedictus
    el 1/5/16

    Te corregimos, Chivi:

    thumb_up0 voto/sflag
    icon

    Chivi Iacovone
    el 1/5/16

    mi error fue de signos? a mi me quedo asi porque cuando saque los parentesis me queda kn +1. no es asi?

    thumb_up0 voto/sflag
    icon

    Chivi Iacovone
    el 1/5/16

    ya esta, estoy mirando bien, y tambien cometi el error de olvidarme del cuadrado de la n y lo arrastre. Fué este error el que me cambio el resultado. MUCHAS GRACIAS!!

    thumb_up0 voto/sflag
  • icon

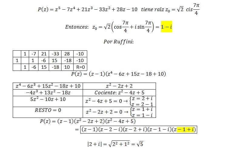
    Axel Morales Piñón.
    el 1/5/16
    flagflag

    Unicoos una manita con estos problemas por favor me quedo corto con las demostraciones:(((

    replythumb_up0 voto/sflag
    icon

    Antonius Benedictus
    el 1/5/16

    Va uno, Peter. Ya me contarás en qué colegio os ponen esto en Bachiller....

    thumb_up1 voto/sflag

    Usuario eliminado
    el 1/5/16

    ¿En el colegio de Nunca Jamás?

    thumb_up2 voto/sflag
    icon

    Axel Morales Piñón.
    el 1/5/16

    Gracias amigo Antonio:) os agradrezco:)

    thumb_up0 voto/sflag
    icon

    Axel Morales Piñón.
    el 1/5/16

    Espero tú valiosa ayuda ayuda:) practicaré haber si puedo resolverlos

    thumb_up0 voto/sflag

    Usuario eliminado
    el 1/5/16

    Va el tercero, Peter. Hazme caso, dibuja lo que leas... Un Saludo.

    thumb_up0 voto/sflag
    icon

    Axel Morales Piñón.
    el 1/5/16

    Amigo Javier:) muchísimas gracias

    thumb_up0 voto/sflag
    icon

    Axel Morales Piñón.
    el 1/5/16

    Amigo qué me dices de este otro ejercicio...

    thumb_up0 voto/sflag
  • icon

    Ignacio Pignanelli
    el 30/4/16

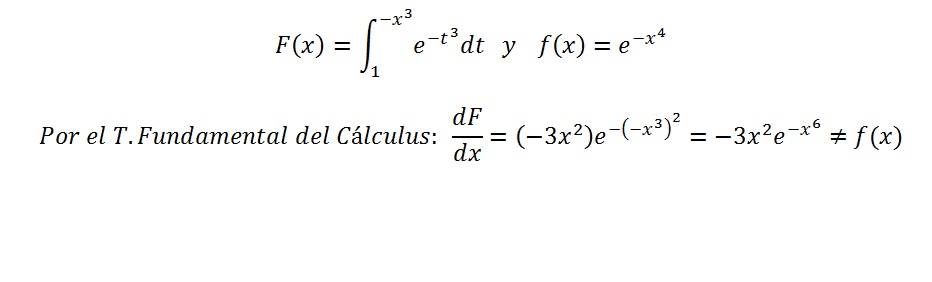
    Hola! Vuelvo con otros problemas de V o F sobre integrales, los cuales no puedo resolver.
    1) Si (df/dy) no es continua en (x0,y0) entonces { y'=f(x,y) e y(x0)=y0 no tiene solución) Tiene que ver con Existencia y unicidad de la solución?
    2) (desde 1 a (-x^3) ∫ e^(-t^3)dt es una primitiva de f(x)=e^(-x^4)
    Adjunto foto de lo que pude plantear de 2)

    replythumb_up0 voto/sflag
    icon

    Antonius Benedictus
    el 30/4/16

    Ignacio,¿puedes poner foto del enunciado original?

    thumb_up0 voto/sflag
    icon

    Ignacio Pignanelli
    el 1/5/16

    Punto II y IV

    thumb_up0 voto/sflag
    icon

    Antonius Benedictus
    el 1/5/16

    El punto IV está mal redactado, o yo al menos no lo entiendo.

    thumb_up0 voto/sflag
  • icon

    teresa
    el 30/4/16

    en un problema de estadística con una tabla que dice
    -vacunados y contagiados 0.05
    - vacunados no contagiados 0.25
    -no vacunados contagiados 0.2
    -no vacunados no contagiados 0.5:
    la pregunta es: si no se ha vacunado ¿cuál es la probabilidad de que se haya contagiado?
    a mi me sale 0.2 por lo que se supone que serían independientes pero no pueden ser independientes ¿no?
    he visto los vídeos de la ley de bayes y probabilidad condicionada y no se que es lo que estoy haciendo mal porque el ejercicio además parece muy fácil...
    muchas gracias

    replythumb_up0 voto/sflag
    icon

    Antonius Benedictus
    el 30/4/16

    p(C/V')=p(C∩V')/p(V')=0'2/(0'2+0'5)=2/7

    thumb_up0 voto/sflag
  • icon

    alexudec
    el 30/4/16

    Hola, me podrían ayudar. Me dicen que con los dos intervalos valores absolutos marcados con "*" , debería llegar a a que el valor absoluto de x-y es mayor a 1/2.
    Pero he sumado y restado los intervalos y no logro llegar a la expresión. Se supone que debería llegar a x-y > 1/2 o x-y < -1/2 . Pero no lo consigo. Ayuda por favor !!!!

    Pero he sumado y restado los intervalos y no logro llegar a la expresión. Se supone que debería llegar a x-y > 1/2 o x-y < -1/2 . Pero no lo consigo. Ayuda por favor !!!!

    ">

    replythumb_up0 voto/sflag
    icon

    Antonius Benedictus
    el 30/4/16

    Te ayudamos, Alexudec:

    thumb_up0 voto/sflag
    icon

    alexudec
    el 30/4/16

    Muchas gracias ! Pero le hago una consulta, la expresión no debería ser también menor que (-1/2) ?

    thumb_up0 voto/sflag
    icon

    Antonius Benedictus
    el 30/4/16

    No, porque x-y es claramente positivo, por lo que su valor absoluto coincide con x-y.

    thumb_up0 voto/sflag
    icon

    alexudec
    el 30/4/16

    Lo que pasa el profesor me dio la siguiente indicación:

    thumb_up0 voto/sflag
    icon

    Antonius Benedictus
    el 30/4/16

    Es correcta cuando no tienes más datos. Pero, si has llegado a que 1/2 ≤x-y≤3/2, es evidente que aseguras que x-y>0, por lo que x-y es iguala su valor absoluto.

    thumb_up0 voto/sflag
    icon

    alexudec
    el 30/4/16

    Al fin logré entender, estuve toda la tarde pensándolo jajaj. De verdad muchas gracias !

    thumb_up0 voto/sflag