no entiendo como resolver este ejercicio de complejos, me pasa siepre que tengo el complejo elevado a numeros "grandes"..
si alguien me puede dar una mano con este ejercicio, y pasarme la forma general para resolverlos o la "receta"
gracias!!!!!!!!!
si alguien me puede dar una mano con este ejercicio, y pasarme la forma general para resolverlos o la "receta"
gracias!!!!!!!!!">![]()

Pasalo a forma polar y elevalo a 16.... ¿lo intentaste?... ¿has visto estos videos?... Numeros complejos 03 - De forma binomica a polar Numeros complejos 01 - Operaciones en forma polar
Como i+i en forma polar es √2, 45º.... (1+i)√2/2= (√2, 45º).√2/2 = (√2.√2/2 , 45º)=1,45º...
Si lo elevas a 16 te quedará 1, 45.16=1, 720º=1, 360º = 1

Por propiedades de los logaritmos (echales un vistazo.. Logaritmos )... log(a.b)=loga + logb..
Por tanto Ln(2^x. e . (x/3).. si está bien copiado, claro... sería Ln(2^x) + lne + Ln(x/3)= x.ln2 + 1 + Lnx - Ln3...
Y ahora integra, por separado.. Te quedará ∫ x.ln2.dx+ ∫1.dx + ∫Lnx.dx -∫Ln3.dx = ln2 . x²/2 + x + x.Ln3 + ∫Lnx.dx
Esta ultima la tienes en video... Integral por partes 02
Hola de nuevo, tengo dudas al intentar resolver este ejercicio. La verdad es que no se como cogerlo.
¿Cuál sería la mejor manera para resolverlo? Yo pienso que tiene relación con los productos escalares y vectoriales, pero no se como llegar hasta ahí.
¡Muchas gracias por su tiempo! Les estoy muy agradecido.
Creo que este vídeo te puede ayudar Vectores Paralelos o perpendiculares - Producto Escalar
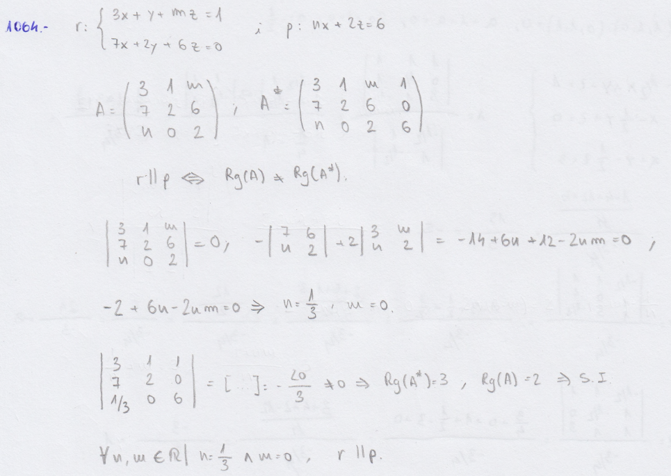
¡Muy buenos días a todos! Me gustaría saber si he resuelto bien este ejercicio, y me gustaría que me dijesen si hay otra forma para realizar este ejercicio, ya que creo que hay más de una.
El ejercicio me pide que encuentre los valores de m y de n para que se cumpla que la recta r y el plano p sean paralelos. Yo he hecho el razonamiento por rangos: una recta será paralela a un plano cuando el rango de la matriz de coeficientes sea distinto del rango de la matriz ampliada, por ejemplo: Rg(A) = 2 y Rg(A*) = 3.
Creo que lo he hecho bien, ya que cuando determino el vector director de la recta y realizo el producto escalar con el normal asociado al plano, este me da 0.
¡Muchas gracias por la ayuda!
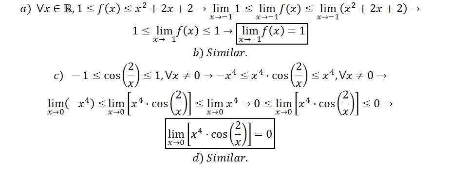
Hola chicos tengan buen día, aquí estoy con un ejercicio del teorema de comprensión si me ayudan ma harian un gran favor ayudandome. Un saludo a ustedes y muchas gracias de antemano x su contribución!
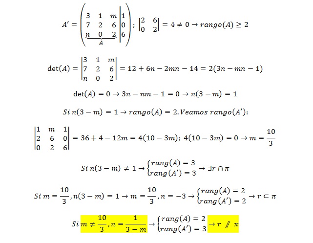
Hola! Aquí estoy de nuevo con otro ejercicio, solo sería el apartado C para saber como se resuelve. Un saludo, gracias!
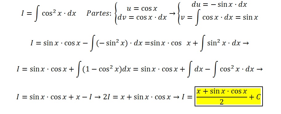
Hola nuevamente amigos de unicoos, les pido ayuda con el ejercicio adjunto en la imagen, necesito que me digan si esta bien o si esta mal, en caso de estar mal hagan el favor de corregirme. Vale ¡ . Y muchisisisismas gracias amigos míos y saludos a la distancia. Saludos y suerte