Foro de preguntas y respuestas de Matemáticas

logo beUnicoos
Los foros de unicoos se han unificado en nuestra nueva plataforma beUnicoos. Para dejar nuevas preguntas deberás hacerlo allí, donde además podrás encontrar nuevas asignaturas y herramientas para ayudarte más con tus estudios.

  • icon

    Dani
    el 1/5/16
    flag

    Alguien me podria decir como se haya la tabla de estadisticas, las medidas de centralizacion, y las medidas de dispersion??

    replythumb_up0 voto/sflag
    icon

    David
    el 2/5/16

    Estadística ´#nosvemosenclase

    thumb_up0 voto/sflag
  • icon

    Alba
    el 1/5/16

    Holaaa, la verdad es que no se en que fallé , me lo podríais explicar??? muchisimas gracias!!!!

    replythumb_up0 voto/sflag
    icon

    Antonius Benedictus
    el 1/5/16

    Alba, mira bien si has copiado correctamente la integral. Tal como la has puesto, es de las irresolubles en términos elementales.

    thumb_up0 voto/sflag
    icon

    Alba
    el 2/5/16

    Es verdad estaba mal copiado, la tg no es al cuadrado

    thumb_up0 voto/sflag
  • icon

    Paqui
    el 1/5/16

    Hola! Tengo una función (la última de las funciones de la columna de la imagen) y tengo que estudiar el crecimiento y decrecimiento. He hallado la primera derivada, que me resulta (5x²(-x²+3))/(x²-1)² e igualado a 0. Me da x=0; x=±√3. Vale. Ahora he puesto los intervalos (-∞,-√3), (-√3,0), (0,√3) y (√3,∞) y he cogido un valor y he evaluado la derivada en ese punto para ver su signo y determinar si es creciente o decreciente. El caso es que hay algo que no me cuadra. Me dan decreciente, creciente, creciente, decreciente respectivamente, pero luego miro la gráfica (foto adjunta) y me surge una duda: de -1 a 0 ¿no sería decreciente? ¿O una "rama convexa" puede ser creciente? Muchas gracias!! :)

    replythumb_up0 voto/sflag
    icon

    César
    el 1/5/16

    fijate bien en la gráfica

    thumb_up1 voto/sflag
    icon

    Paqui
    el 1/5/16

    Muchísimas gracias por contestar!!
    Vale, me ha quedado claro :) Es que, no sé por qué, tenía la idea errónea en la cabeza de que las "ramas convexas" como esa siempre iban hacia -∞, y por tanto era decreciente. Pero ya veo que no. Muchíííísimas gracias!!

    thumb_up0 voto/sflag
  • icon

    manu
    el 1/5/16

    ¿unicoos tendrá vídeos de dibujo técnico próximamente? No tiene nada que ver con este foro pero me interesa saberlo

    replythumb_up0 voto/sflag
    icon

    David
    el 2/5/16

    Estoy intentando llegar a algún acuerdo con profes de dibujo que os ayuden con ello... Un abrazo!

    thumb_up1 voto/sflag
  • icon

    Marta Castro Gómez
    el 1/5/16

    Alguien me puede ayudar con este problema? Gracias
    Encuentra la equación vectorial de la recta que tiene pendiente 1/2 y pasa por el punto (3,-2)

    replythumb_up0 voto/sflag
    icon

    manu
    el 1/5/16

    halla la general y lo pasas a vectorial de la manera que te hayan enseñado, sino hay un vídeo de como pasar de una ecuación a otra. la general seria -2=1/2 x 3 + n, hallas n y lo pasas a vectorial. Ecuacion de la recta en R²

    thumb_up1 voto/sflag
  • icon

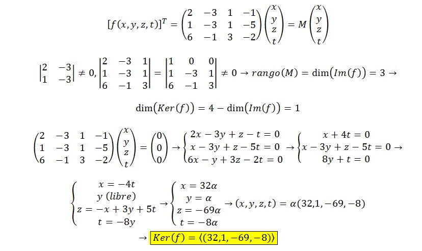
    José Manuel
    el 1/5/16

    Una ayudita con este:

    replythumb_up0 voto/sflag
    icon

    César
    el 1/5/16

    Va esa ayudita

    thumb_up0 voto/sflag
    icon

    Antonius Benedictus
    el 1/5/16

    Te va la primera parte, José Manuel:

    thumb_up1 voto/sflag
  • icon

    Franko Pineda
    el 1/5/16

    Profesor, tengo una duda, respecto a unos enunciados q piden ver si las siguientes relaciones son funciones y ¿por qué?:
    1) A = B = Seres humanos, f:A-->B /f(x) padre de x.
    2)A = N(numeros naturales) , B= Z(numeros enteros) , f:A-->B / f(x) = 2x-3.
    3)A = N(numeros naturales) , B= R(numeros reales) , f:A-->B / f(x) = (x+1)/2
    3)A = N(numeros naturales) , B= R(numeros reales) , f:A-->B / f(x) = {x+1, si x=2
    Si alguien me pudiese ayudar con esto porfavor. Gracias.

    replythumb_up0 voto/sflag
    icon

    David
    el 2/5/16

    Tendrás una funcion siempre y cuando se cumpla que para un determinado valor de x, solo es posible un valor de "y"...
    Todas son funciones... Y puedes incluso representarlas..

    thumb_up0 voto/sflag
  • icon

    Aixa
    el 1/5/16

    ¡Buenos días! Tengo una duda y no se como continuar con este problema.¿Cómo calculo el porcentaje?¿Me lo pueden explicar?Asi puedo continuar haciéndolo.

    replythumb_up0 voto/sflag
    icon

    César
    el 1/5/16

    el nuevo precio seria el antiguo x(1,18)
    la segunda ecuacion sera entonces
    180(1.18)x+70.5y=58.632
    resolviendo el sistema x=0.13 e y=0.44
    el precio nuevo x(1,18)=0.13(1,18)=0.1534 euros Kw

    thumb_up0 voto/sflag
    icon

    Aixa
    el 1/5/16

    Gracias César

    thumb_up0 voto/sflag
  • icon

    Jon Aginaga
    el 1/5/16

    cómo se hace para notificar un error en un vídeo?

    replythumb_up0 voto/sflag
    icon

    Adrián
    el 1/5/16

    Simplemente comentas en el propio video.

    thumb_up1 voto/sflag
  • icon

    John
    el 1/5/16

    buenas noches, pueden ayudarme con este ejercicio (1), gracias !

    replythumb_up0 voto/sflag
    icon

    Antonius Benedictus
    el 1/5/16

    Te ayudamos, John:

    thumb_up0 voto/sflag