Hola, mi consulta es como hacer este tipo de problemas, cual es la teoría necesaria para encararlos? porque no se como se hacen ninguno de ellos!

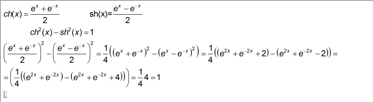
No hace falta teoría. _El enunciado te lo dice todo... Sustituye chx y shx en ch²x-sh²x=1...
Te quedará (e^x+e^(-x))²/4 - (e^x-e^(-x))²/4 = [e^(2x)+e^(-2x) +2.e^x.e^(-x) - e^(2x)-e^(-2x)+2.e^x.e^(-x) ]/4 = 4.e^x.e^(-x)/4 =e^x.e^(-x) = e^(x-x)=e^0=1....
¿mejor?... Para el resto, lo mismo.. Aplicar despues identidades notables, mutliplicacion de potencias de la misma base, etc, etc... ANIMO!
Para la b) y la c) deberás derivar las expresiones (e^x+e^(-x))/2 o (e^x-e^(-x))/2 .. ¿sabes derivar bien?...
si sigues con dudas, lo ideal es que nos envíes que conseguiste, paso a paso, esté bien o mal......
Podríais ayudarme con estos dos ejercicios de optimización? No sé sacar la relación que tienen los datos que me dan.

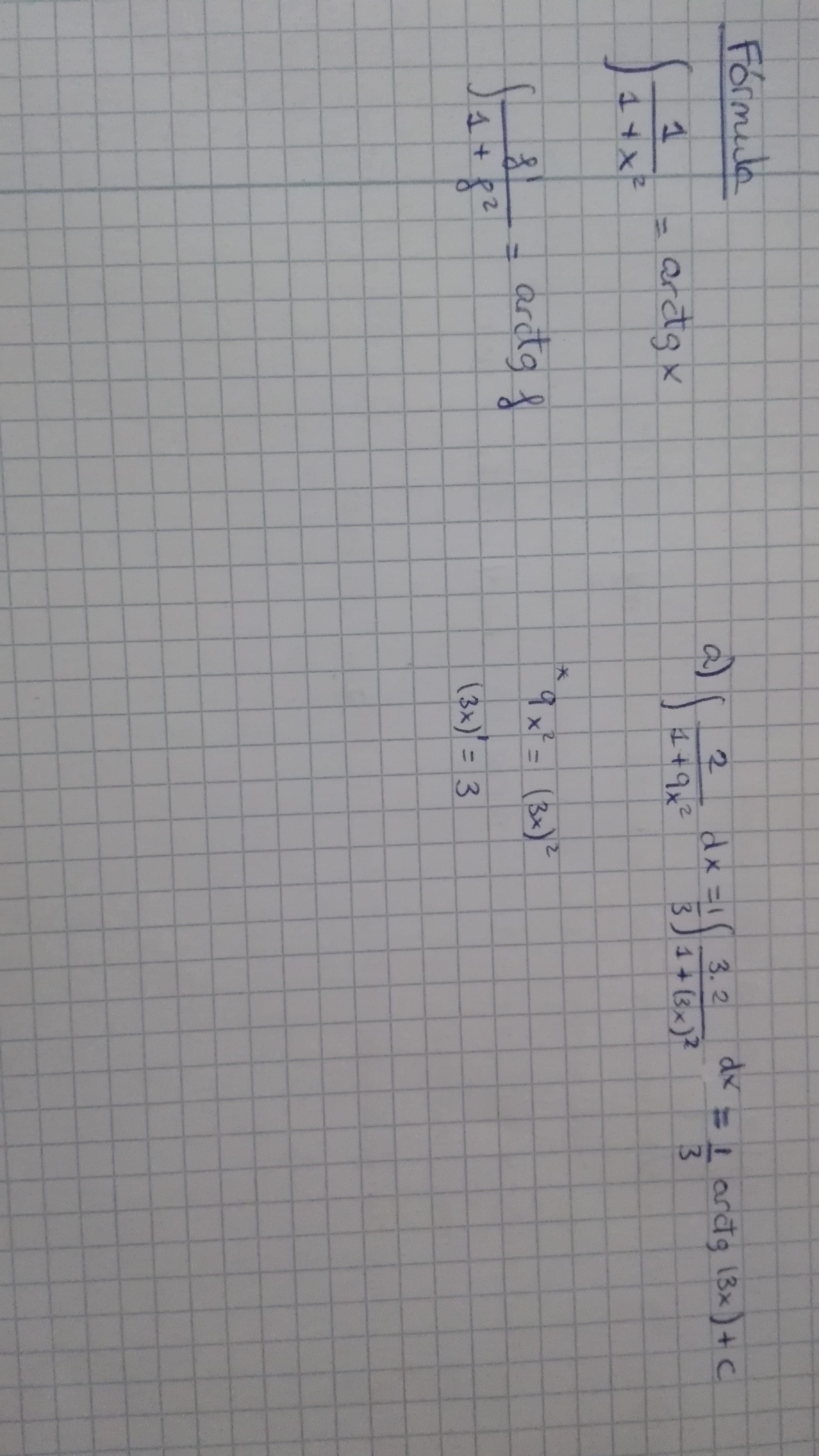
Son integrales de tipo arcotangente... Te sugiero este video, al menos.. Integrales inmediatas y definidas
Se pueden hacer tambien por cambio de variable..
Se trata de que DESPUES DE IR A CLASE (ver los vídeos relacionados con vuestras dudas) enviéis dudas concretas, muy concretas. Y que nos enviéis también todo aquello que hayais conseguido hacer por vosotros mismos. Paso a paso, esté bien o mal. No solo el enunciado. De esa manera podremos saber vuestro nivel, en que podemos ayudaros, cuales son vuestros fallos.... Y el trabajo duro será el vuestro. #nosvemosenclase Nos cuentas ¿ok?
No sé cómo debo resolver este sistema. Lo he intentado de dos maneras distintas. Las dos ecuaciones son dependientes, pero al intentar resolverla por segunda vez, me sale indeterminación: 0y, 0z