Hola, soy chileno y nuevo en unicoos, los felicito por su pagina me ha servido mucho en mis estudios, pero tengo una pregunta: ¿hay algun lugar en la pagina para descargar guias para practicar los ejercicios?, y si no lo hay sería una buena sugerencia.
Saludos y gracias !

Echales un vistazo.. Area entre funciones 01
La que corta el eje x (pasa por el punto (.-2,0) no puede ser tu funcion porque si f(x)=x².e^x... .f(-2) no es igual a 0....
En tu caso tendrás que hacer por tanto la integral entre -2 y 0 de f(x)-f'(x)...
Como f'(x)=2x.e^x + x².e^x ... finalmente tendrás que hacer la integral entre -2 y 0 de 2x.e^x + x².e^x - x².e^x = la integral entre -2 y 0 de 2x.e^x
Hola amigos , tengo serias dificultades para entender y razonar problemas matemáticos , os paso un ejemplo de problema para quien pueda que me heche un cable , gracias de antemano.
En 2015 con motivo del IV centenario de la publicación de la segunda parte del Quijote, una
editorial publica 2000 ejemplares repartidos en tres ediciones en formato libro de bolsillo, tapa
blanda y tapa dura. El número de ediciones entre formato de bolsillo y tapa blanda es el triple de
los ejemplares de tapa dura y su diferencia es la décima parte del total ejemplares puestos a la
venta. Plantea y resuelve un sistema de ecuaciones para averiguar cuántos ejemplares de cada
formato saldrán a la venta.
Holaa amigos ,me podrían ayudar a saber como encontrar él máximo común divisor y él mínimo común múltiplo cuando me dan una condición como él siglo.problema:
¿Puedes encontrar dos números enteros positivos P y Q que cumple la sig.condición:él máximo común divisor de P y Q es 10 y él mínimo común múltiplo de P y Q es 240?
Buenas, necesito su ayuda. De que forma puedo resolver este tipo de ejercicios de progresiones geometricas: la suma de 3 numeros positivos en progresion geometrica es 210, el tercero excede al primero en 90, hallar los 3 numeros. ¿Como se resuelve ese tipo de ejercicio?
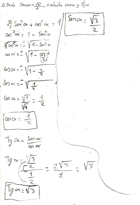
Hola amigos, necesito ayuda con este ejercicio de identidades trigonométricas, me piden calcular el coseno y la tangente del angulo partiendo del seno, ya hice todos los cálculos utilizando las formulas recomendadas, pero aún no estoy seguro de si lo hice correctamente, me pueden corregir? se los agradecería mucho.