Si no es mucha molestia, era por si podriais resolverme un ejercicio que no me sale y me estoy haciendo un lío. Muchísima gracias por vuestra atencion. Os lo dejo aquí(es de geometria de 2º bach.)
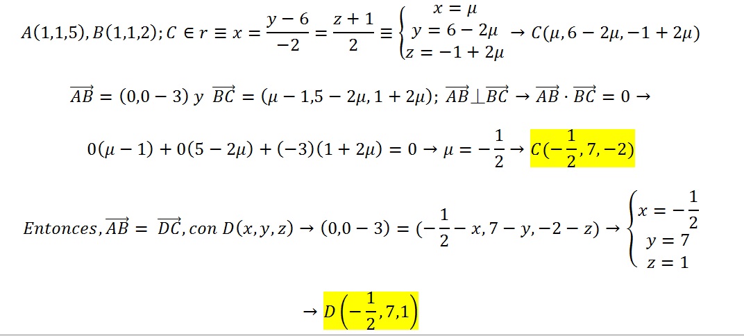
Los puntos A(1,1,5) y B(1,1,2) son vértices consecutivos de un rectángulo ABCD. El vértice C, consecutivo a , esta en la recta x=y-6/-2 = z+1/2 . Determina los vértices C y D.
Un saludo, espero que se entienda.
Hola buenas tardes. Me podrían ayudar con esta función?Yo lo hecho y me sale esto pero creo que esta mal ( sobre todo el dominio)
Dominio=(menos infinito hasta infinito)
RECORRIDO( Desde 0 hasta infinito)
Creciente=( Desde 0 hasta 2)
Decreciente ( Desde menos infinito hasta 0) y desde 2 has infinito
Hola quisiera saber como podría hacer para parametrizar una parte de la corteza de un cilindro. Me dicen que esta superficie es la superficie del cilindro x^2 +z^2=16, que está dentro de otro cilindro con ecuación x^2 +y^2 =16. Muhas gracias de antemano
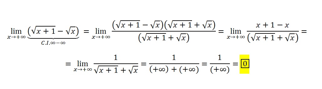
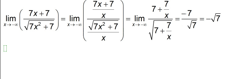
Podeis ayudarme a hacer este limite? Se que hay que multiplicar arriba y abajo por el conjugado,¿pero que conjugado?

Para no hacerse líos con los signos del infinito, y poder introducir factores en el radical sin dejar el "signo tesitigo" fuera, es altamente recomendable, para límites en -∞ (menos infinito):
Sustituir en la función x por (-x).
Operar.
Cambiar el límite dado por lim (x→+∞) (más infinito).
Hola! alguien me puede ayudar? en el ejercicio 7 me atasco con la primera derivada para hacer los extremos relativos, no sé por qué no me sale, si alguien me dijese cómo se hace ya sabría yo seguir. El ejercicio 6 directamente no sé plantearlo :(
Hola David , ¿me podrías mostrar como se resuelve este limite?
Te suena si hay algun video de propiedades de los limites ( sucesiones)?, no los he encontrado.
Muchas gracias