Hola David,
Estoy retomando las matemáticas y empezando por tus videos de secundaria, tan importantes para tener una buena base. Por favor, ¿es posible que brindes una relación de ejercicios para practicar? O al menos si puedes comentar algún enlace a alguna página interesante en donde me pueda ir descargando ejercicios ya sea en PDF o cualquier otro formato.
Muchas gracias, un saludo

Hola Pablo,
En muchos vídeos tienes un símbolo de un libro abierto "material adicional" donde puedes encontrar ejercicios extra, imágenes (muchas veces son resúmenes con fórmulas) o más teoría. Además puedes practicar con los ejercicios que va haciendo David en la pizarra antes de verlo y así después tienes la resolución o los pasos por si te has quedado bloqueado.
Dependiendo del nivel que necesites, en esta página podrás encontrar las soluciones de todo el libro de 1 bachillerato de Anaya:
http://resultados-examen.blogspot.be/2012/02/soluciones-1-bachillerato-t-matematicas.html
Dependiendo del nivel que necesites, en esta página podrás encontrar las soluciones de todo el libro de 1 bachillerato de Anaya:
http://resultados-examen.blogspot.be/2012/02/soluciones-1-bachillerato-t-matematicas.html
">![]()
Hola Patri,
Quiero agradecerte tu tiempo y dedicación a darme una buena respuesta que ha sido asombrosamente rápida, ya voy viendo lo interesante que es la comunidad de unicoos :-) Sólo quiero hacer un inciso, y es que me estoy dando cuenta que efectivamente David hace ejercicios y en muchos casos pone material de consulta (que para mi poco nivel actual es más que suficiente), pero que si lo que quiero es practicar y practicar como bien dice David me gustaría poder disponer de muchas más tablas de ejercicios adecuados a cada nivel. Sé que si hago una simple búsqueda en google puedo llegar a encontrar ejercicios de distintos niveles pero también sé que si David o la comunidad de unicoos me puede orientar con algúnos enlaces interesantes, siempre será mejor porque me adecuaré a la manera de aprender de unicoos y además "no iré dando bandazos".
Muchas gracias, un saludo
Hola buen día a todos, pueden ayudarme con este ejercicio de calculo de área ; obtenga la superficie "s" limitada por el eje x y la curva y = x^2 con 0 ≤ x ≤ 2 y la recta x = 2 y el volumen de la superficie "s" al dar una vuelta al rededor del eje x
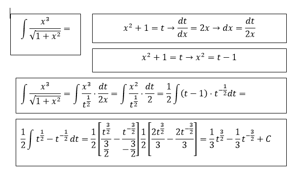
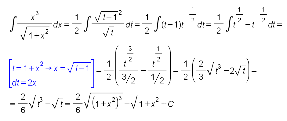
Buenas Tardes, Don Antonio, ¿qué tal?. Le pido un favor, si está en su mano: Me gustaría hiciese completa la integral siguiente, pues no coincido con las respuestas que están puestas. Quedándole agradecido, como siempre, de antemano le envío un saludo muy afectuoso. Muchas gracias de antemano.
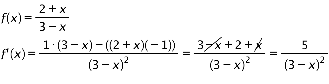
Yo he hecho lo siguiente sin deshacer el cambio. ¿Es correcto?
Hola de nuevo David, disculpa pero no me subió el adjunto.
Ahora sí.
Esta resuelto, pero tengo dudas de si esta bien. Gracias
Es que dandole vueltas, lo he resulto de otra manera que creo que es como estaria bien, ya que segun he visto en le libro las propiedades de los limites solo se pueden aplicar a limites reales , asi que opté por resolver la resta de fracciones y calcular su limite . da una indeterminacion de inf /inf , pero al final resulta menos inf. igualmente.
Ademas al ser dos terminos elevados a la 4 imagino que no se podra separa en dos limites.
Estoy en lo cierto o es que se puede resolver de las dos maneras. Tengo un poco de lio
Me pueden ayudar con esta derivada fx=7x^-3

Te sugiero veas los videos de derivadas... Si no sabes hacer esa derivada, podría jurar que no has pasado por clase... Derivada de una funcion 00 - Regla de la Cadena