Foro de preguntas y respuestas de Matemáticas

logo beUnicoos
Los foros de unicoos se han unificado en nuestra nueva plataforma beUnicoos. Para dejar nuevas preguntas deberás hacerlo allí, donde además podrás encontrar nuevas asignaturas y herramientas para ayudarte más con tus estudios.

  • icon

    Marcos
    el 13/4/16

    Hola.. Que pasaria si tengo modulo |x-1|/|x-2| > 2 ?? como divido el problema en este caso. Muchas gracias

    replythumb_up0 voto/sflag
    icon

    Antonius Benedictus
    el 13/4/16

    Expresa la desigualdad en tres:
    Si x<1→abs(x-1)=-x+1 y abs(x-2)=-x+2
    Si 1≤x<2→abs(x-1)=x-1 y abs(x-2)=-x+2
    Si x>2, abs(x-1)=x-1 y abs(x-2)=x-2.
    x=2 no vale.

    thumb_up1 voto/sflag
    icon

    Marcos
    el 13/4/16

    Perfecto.. la respuesta final me quedo que pertenece a los intervalos: (2;3) U (5/3; 2).. Muchas gracias

    thumb_up0 voto/sflag
  • icon

    Lsslie
    el 13/4/16

    Hola,me ayudáis con este ejercicios de conicas ? Con el triángulo me sale que sería igualando cada punto a 0 pero al ser un cuadrado no me sale. Gracias!

    replythumb_up0 voto/sflag
    icon

    Antonius Benedictus
    el 13/4/16

    Claro, dAy:

    thumb_up0 voto/sflag
    icon

    Lsslie
    el 14/4/16

    Si fuera circunscrita sería el mismo procedimiento?

    thumb_up0 voto/sflag
  • icon

    Nicolás Peralta
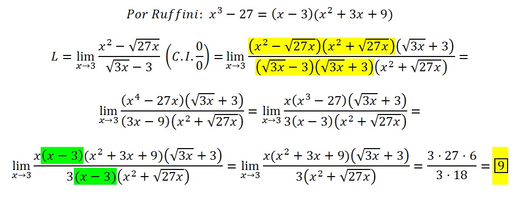
    el 13/4/16

    hola me podrian ayudar con este limite?? no puedo llegar al resultado que es 9.

    replythumb_up0 voto/sflag
    icon

    Natalia
    el 13/4/16

    Si sabes la regla de l'Hôpital puedes hacerlo así:

    thumb_up1 voto/sflag
    icon

    Nicolás Peralta
    el 13/4/16

    todavia no nos enseñaron esoo.

    thumb_up0 voto/sflag
    icon

    José
    el 13/4/16

    para resolver ese límite tienes que aplicar la regla de l´hopital,que consiste en derivar el numerador y el denominador hasta que desaparezca la indeterminación.

    thumb_up0 voto/sflag
    icon

    Antonius Benedictus
    el 13/4/16

    Por métodos algebraicos, Nicolás:

    thumb_up1 voto/sflag
  • icon

    Salomé
    el 13/4/16

    Hola podeis ayudarme ?

    replythumb_up0 voto/sflag
    icon

    jonathan perez
    el 13/4/16

    Expresamos la integral como ∫(x^3-2x^2)/(x^2-3x+2) + ∫(x-1)/(x^2-3x+2)

    factorizamos...

    ∫x^2(x-2)/((x-2)(x-1)) + ∫(x-1)/((x-2)(x-1))

    Simplificamos...

    ∫x^2/(x-1) + ∫dx/(x-2)

    comencemos con la primera integral...

    x^2 lo podemos expresar como x^2-1+1

    ahora x^2-1 lo podemos expresar como (x+1)(x-1)

    Reemplazamos eso en la PRIMERA integral y nos queda

    ∫((x+1)(x-1)+1)/(x-1) lo cual lo dividimos en una suma ∫(x+1)(x-1)/(x-1) + ∫dx/(x-1)

    Simplificamos la primera integral y nos queda

    ∫(x+1)dx + ∫dx/(x-1)

    resolvemos y nos da

    x^2/2 + x + ln(x-1)

    ahora vamos con la SEGUNDA integral

    ∫dx/(x-2)

    la cual es automarica y nos da ln(x-2)

    Ahora el resultado final nos queda

    x^2/2 + x + ln(x-1) + ln(x-2) + C

    thumb_up2 voto/sflag
  • icon

    victoria
    el 13/4/16
    flagflag

    quisiera poder ver explicacion de ejercicios de funciones de varias variables en numeros reales y ejercicios de limites de diferente trayectoria, gracias espero respuesta saludos de Argentina .

    replythumb_up0 voto/sflag
    icon

    David
    el 14/4/16

    Con calculo multivariable no puedo ayudarte porque unicoos por ahora se queda en bachiller. No obstante, sin ver un enunciado concreto y una duda concreta es imposible saber que necesitas... Besos hasta Argentina!

    thumb_up0 voto/sflag
  • icon

    Sofía Escamilla Padorno
    el 13/4/16

    Hola de nuevo! Alguien me puede ayudar a hacer esta integral? es que me quedo atascada...

    replythumb_up0 voto/sflag
    icon

    jonathan perez
    el 13/4/16

    Hacemos t= x^2+1
    dt=2xdx
    reemplazamos...
    (1/2)∫(x^2+1)2xdx
    ∫tdt
    resolvemos la integral...
    t^2/2
    ahora solo reemplazas t y listo

    thumb_up1 voto/sflag
  • icon

    Miguel Angel Janko Quispe
    el 13/4/16

    hola!! tengo una pregunta! Por que al multiplicar una Matriz A por su transpuesta, la matriz resultante tiene a cada uno de sus elementos mayores o iguales a cero?
    Agradeceria mucha una respuesta!!! desde ya gracias!! y lindo dia para todos!!

    replythumb_up0 voto/sflag
    icon

    Antonius Benedictus
    el 13/4/16

    Te explicamos, Janko:

    thumb_up1 voto/sflag
  • icon

    Gianluca
    el 13/4/16

    me ayudáis me he hecho un lio con este problema

    replythumb_up0 voto/sflag
    icon

    Maximiliano
    el 13/4/16

    Hola como estas?
    Podrias subir algun dibujo? como para saber si el angulo que tenes como dato es el formado por "a" y "c" o alguno de estos lados es el lado opuesto al angulo....

    thumb_up1 voto/sflag
    icon

    Antonius Benedictus
    el 13/4/16

    Va así, Gianluca:

    thumb_up1 voto/sflag
    icon

    Gianluca
    el 14/4/16

    muchas gracias

    thumb_up0 voto/sflag
  • icon

    Salomé
    el 13/4/16

    hola! podrían ayudarme a resolver esta integral ?
    ∫x^3-2x^2+x-1/x^2-3x+2

    replythumb_up0 voto/sflag
    icon

    Francisco Gutiérrez Mora
    el 13/4/16

    Salomé pon el enunciado original y si no usa paréntesis y así no hay dudas. Un Saludo.

    thumb_up0 voto/sflag
  • icon

    Daniel Aparicio
    el 13/4/16

    Me podrían decir en que me equivocado porque en la primera la raíz no me da y en la segunda me da una ecuación exponencial

    replythumb_up0 voto/sflag
    icon

    César
    el 13/4/16

    Te va Daniel fijate bien

    thumb_up0 voto/sflag