Hola a todos!!
Me gustaría saber si alguien me podría ayudar con el siguiente problema de ecuaciones. Dice así: "Dos tinajas tienen la misma cantidad de vino. Si se pasan 37 litros de una a otra, ésta contiene ahora el
triple que la primera ¿Cuántos litros de vino había en cada tinaja al principio?" Lo he estado planteando como x- 37= 1/3y ó x+37= 3y pero no me sale la solución que es 74 litros. Comprobándolo sé que la solución esperada está bien. ¿Alguien me querría ayudar a descifrar este enigma que se me plantea? Muchísimas gracias a todos!
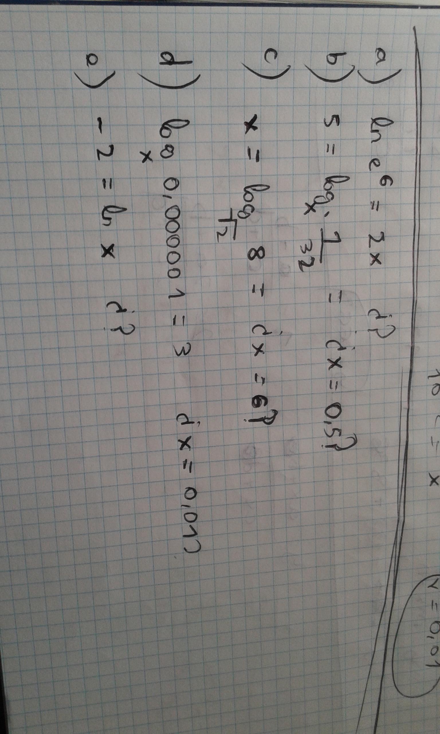
Hola me podrían decir si el resultado de la x lo tengo bien y ayudarme para sacar el resultado de logaritmo neperiano se me atraviesa un poco

a) ln e^6 = 6.lne = 6...Recuerda que lne=1... Y que una de las propiedades de los logarttimos dice que log a^n=n.log a...
.. Por tanto 2x=6.. x=3...
b) En el segundo, por definicion de logaritmo... x^5=1/32...x^5=1/2^5... x^5 =(1/2)^5... x=1/2=0,5.. BIEN!
c) √2^x =8... (2^(1/2))^x = 2³.... 2^(x/2)=2^3... x/2=3... x=6... BIEN!
d) x³=10^(-6)... x=10^(-2)=1/100=0,01... BIEN!
e) Por definicion... e^(-2)=x... Y ya está... Puedes expresarlo como 1/e². Incluso hacerlo con la calculadora...x=0 ,135...
Recuerda que la base de un logaritmo neperiano es el numero
Al ver los 9 videos de ecuaciones diferenciales habla en el ultimo de si se tuviera en la ecuación de segundo grado una variable (y) seria mas difícil
Mi pregunta es como se resuelve ese tipo de ecuaciones ejemplo:
Y"(1-X)+Y´X-Y=0
ayuden me por favor ya que no me ha salido este problema ya que lo intente hacer por la sustitución
de variable pero no es el mismo resultado que me da mi profesor
Hola, buenas noches. hay un pequeño problema que me aqueja porque no puedo, o más bien no hallo como intepretarlo con álgebra, este problema. ¿Cuantas aves hay y ramas? de las cuales se sabe que si una ave se aposenta en cada rama sobrara un ave, y si se aposentan dos aves por rama se sabrá que sobrara una rama. infiero la primera pista donde sucede lo siguiente: X es igual a la cantidad de aves y Y cantidad de ramas luego esto X=y+1 pero la otra ecuación no me imagino como plantearla. Gracias de ante mano si me pudieran ayudar a ajustar este problema al álgebra.
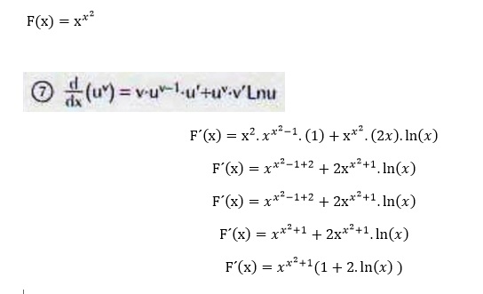
hola, me dan una mano con la derivada del punto V) la hize pero al comprobar mi resultado con wl wolfram alpha me da diferente a lo que me dio ami, saludos y gracias de ante mano

Capaz el resultado del wolfram esta simplificado y el tuyo no,revisalo paso a paso con el symbolab
https://es.symbolab.com/solver/derivative-calculator/%5Cfrac%7Bd%7D%7Bdx%7D%5Cleft(%5Cln%5Cleft(%5Cfrac%7Bx%5E%7B2%7D%2By%5E%7B2%7D%7D%7Bx%5E%7B3%7D%7D%5Cright)%20%5Cright)/?origin=button

Publica esta pregunta otra vez quiero ver que piensan los profes ,yo diria que es un implicita pero si dices que no te enseñaron eso ,entonces seria como derivar con respecto a y y tomar a x como constante ,lo que he visto en tu resolucion es que has aplicado la derivada de cociente pero como te digo si a x lo consideras como contante no podrias aplicar la derivada del cociente ,porque la variable (y) la observamos en el numerador pero no en el denominador seria algo asi la derivada de lo de adentro del logaritmo neperiano (2y)/x^3, te das cuenta que 1/x^3 es constante ?si verdad eso es lo que harias ,pero vuelvelo a publicar aver que dicen si es como te digo o es una derivada implicita,