
Debes obtener "a" para que la funcion sea continua ... en x=2... los limites laterales son respectivamente (2a-1) y (4a)...
Por tanto 2a-1=4a... -2a=1... a=-1/2... Echales un vistazo.. Funcion a trozos Discontinuidad 01
La derivada será f'(x)=
a si x<2
2ax si x>=2...
Para ese valor de "a" obtenido anteriormente... f'(x)=
-1/2 si x<2
-x si x>=2...
La funcion NO ES DERIVABLE en x=2...
Hola tengo, problemas para escalerizar esta matriz, tengo que decir si es scd o sci, pero no consigo comprender
Hola, me podría ayudar alguien con este ejercicio?
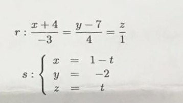
Te pide: a) posición relativa de las rectas b)ecuación parametrica del plano que es paralelo a las rentas y pasa por el origen de coordenadas
Pd: si sabéis de algún enlace a videos de geometría en el espacio me gustaría que los pusierais. Ando un poco espesa en ese tema
Gracias!!!

Echale un vistazo... Posición relativa de dos rectas en R³
Para la ecuación del plano, tienes dos vectores (los de las rectas) y un punto... Ecuación del plano
#nosvemosenclase
Hola, una ayuda con este apartado:
APARTADO B)
Si me pueden explicar que es lo que me preguntan (además de resolverlo) lo agradezco, porque ni siquiera se que me está preguntando el ejercicio.
Gracias, Saludos.

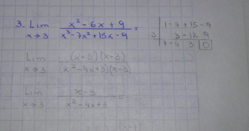
Deriva la funcion... f'(x)=
6x si x<2
3 si 2≤x≤5
-2x+13 si x>5....
La funcion no será derivable en x=2 si se cumple que limx->2- f(x)= limx->2 (6x) =12 ≠ limx->2+ f(x)=limx->2 (3)=3....
Te sugiero estos vídeos... Derivabilidad de un función a trozos
Hola, necesito ayuda con la comcavidad y convexidad de esta función x|2x+4|
Muchisimas gracias

Para empezar, divide la funcion en trozos... como en este video.. Funcion a trozos - Valor absoluto
Te quedará f(x)=
x(-2x-4)=-2x²-4x si x<=-2
x(2x+4)=2x²+4x si x>-2
Deriva dos veces e iguala a 0. Obtendrás los posibles puntos de inflexión...
Echale un vistazo.. Crecimiento y decrecimiento
Nos cuentas ¿ok?

Echales un vistazo y nos cuentas ¿ok?... Posición relativa de rectas y planos Ecuaciones de rectas y planos
tienes dos vúideos identicos a lo que te piden. Uno para hallar la distancia entre dos rectas que se cruzan. Otro para hallar la recta que pasa por un punto y corta a otras dos...
#nosvemosenclase