Hola! Me ayudáis con este ejercicios de conicas:
El segmento A(0,4) y B(4,2) es el diámetro de una circunferencia. Determina la ecuación de la circunferencia y la ecuación de la recta tangente en el punto B. Gracias!

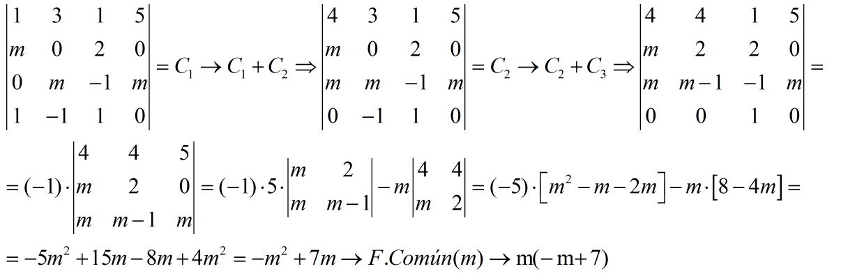
Buenas noches. Una buena manera para resolver determinantes mayores de orden 3 es haciendo ceros. Tienes que ir buscando convinaciones entre filas o columans para que en una fila o en una columna te queden todos los números 0, salvo uno. Entonces puedes aplicar el adjunto del número distinto de cero y de esta manera te ahorras mucha faena a la hora de calcular determinantes.
en que video encuentro para aprender a hacer derivadas de 2 de bachillerato como f(x) x2+lnx+x?

En todos los de REGLA DE LA CADENA... Aunque en tu caso es muy sencilla... La derivada de x²+lnx+x es 2x+1/x+1...
Te dejo un link... Regla de la cadena
buenas amigos me pueden ayudar como expresar este conjunto por extension Defina al conjunto H={x∈R/x^2-16=0}
Hola, me pueden ayudar a resolver este producto notable de diferencia de cuadrados
(2x-5)²
Gracias
HOLA ME GUSTARÍA QUE ME DIERAN EXPLICACION SOBRE ESTE TIPO E EJERCICIOS , O ME RECOMENDARAN ALGUN VIDEO YA QUE NO ENCUENTRO Y AUNQUE SUMATORIA, CREO QUE ESTOY CLARO ESTE EJERCICIO SE ME COMPLICO EL ENUNCIADO, Y NO LO PUEDO PLANTEAR PUES NO LO ENTIENDO
EN INDICE SUPERIOR ES (i = n) Y EN EL INDICE INFERIOR ES ( i = 1 ) por si no se ve bien claro GRACIAS