Hola Unicoos!
Ejercicio 8
La demanda un producto en función de su precio es q= 200 - 0,5p
Los costos se pueden calcular sabiendo que:
Los costos fijos son de U$400 y los costos variables unitarios son
(CVU) =4+0,2q
a) Determinar el nivel de producción en el que se maximiza la utilidad.
b) Determinar el precio en el que ocurre la utilidad máxima.
c) Determinar la utilidad máxima.
Bien. Es un ejercicio basico de Matemática orientada a Economía. El tema es que es cuadrática, y más alla de todo eso lo que no me estaría saliendo es relacionar los costos fijos con la demanda del producto...
tengo esta duda si alguien me puede ayudar o aconsejarme para fijar algunos conceptos que me ayuden a resolver estos ejercicios les agradeceré infinitamente...

Primero: poner z=x+yi
En esta expresión: x=Re(z) (se llama parte real), y=Im(z) (se llama parte imaginaria).
z(con barra) se llama "conjugado de z". Si z=x+yi, su conjugado es x-yi
Para igualar dos números complejos, igualas por separado las partes reales entre sí, y las partes imaginarias entre sí,
Inténtalo y nos comentas.
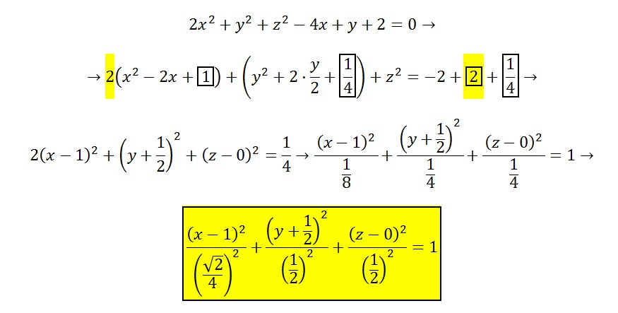
Hola, tengo una consulta de cónicas de universidad: Hallar las coordenadas del centro y la longitud de los semiejes en la sig elipsoide: 2x^2 + y^2 + z^2 -4x +y +2= 0.
1) Agrupo : 2x^2 -4x + y^2 + y + z^2 = -2
2) saco factor común 2: 2(x^2 -2x) + y^2+y+z^2=-2
3) completo cuadrados: 2(x^2 -2x +1) -2 + (y^2 +y +1 ) -1 + z^2 = -2
4) resuelvo y paso sumando: 2(x-1)^2 + (y+ 1/2)^2 + z^2 = -2+2+1
5) luego me queda: (x-1)^2 + (y+ 1/2)^2 + z^2=1
........................................1/2
Centro (1, -1/2, 0) a= 1/√2 B=C=1
El centro esta bien, a b y c no. esto es lo que me tendria que dar : A= √2 / 4 B=C= 1/2.
Donde esta mi error? gracias!
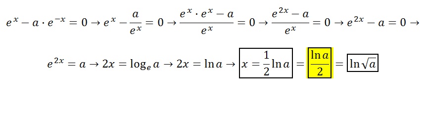
Hola muy buenas. Miren, el problema trata sobre el análisis de una función, y tengo que ver cuando se anula la primera derivada. No entiendo el paso que hace para hallar lo que tiene que valer x
Si me pudieran ayudar. Imagino que son propiedades de logaritmos neperianos, y las he estado buscando, pero sigo sin entenderlo.
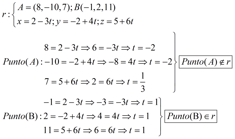
Buenas tardes de nuevo, tengo una duda sobre si la manera que he resuelto éste ejercicio es correcta. Me piden que averigüe si el punto A y B pertenecen a la recta definida por las ecuaciones.
¿Hay alguna otra manera para realizar éste ejercicio?
Y por acabar, una curiosidad, ¿para que tres puntos estén alineados que condición deben cumplir? ¿Qué pertenezcan a la misma recta?
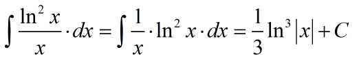
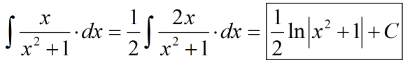
Hoola! Llevo un rato intentando resolver esta integral, apliqué la fórmula de la integración por partes, pero no sale. Gracias