¿cual es el dominio de estas funciones? 5secx/(2x^2+2y^2-4xy)---------------- la otra es... 2x^3-5y^2/(x^4-y^4)
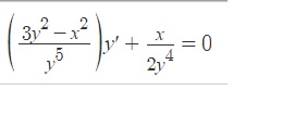
Necesito una ayudita con este calculo.Es una estupidez grande como una casa, pero la verdad que me gano.No me da el resultado por esto..
Tengo..
seno 30 -seno 60 todo sobre seno 30 +seno 60=raiz de 3 -2 . No consgo llegr a ese resultado. Si me pudiesen mostrarlo,porque no visualizo mi error
Disculpen, una duda muy muy sencillita
Es lo mismo : sen^2(x) que sen(x)^2
Gracias.

Se diferencia en que en el primer caso es la potencia al cuadrado del seno de un ángulo (seno cuadrado de...) y el segundo caso es el ángulo en cuestión el que está elevado al cuadrado.
Ejemplo: sen(30)^2 o bien sen(30^2), esto NO significa "calcula seno de 30 (1/2) y el resultado lo elevas al cuadrado," sino "multiplica 30x30 y calcula el seno de de 900".
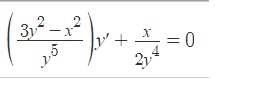
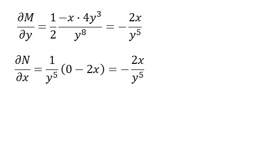
Hay un ejercicio aqui que me tienen pensando un poco.
Hallar la ecuacion de la circunferencia tangente a las rectas X-3Y+9=0 y 3X+Y-3=0 y que tiene su centro en la recta 7x+12y-32=0
Me dice que hay 2 posibles soluciones.
Gracias de antemano
hola si en un ejercicio de complejos tengo esto :3+2i(-1+i)-(5+4i) ,hago primero 3+2i(-1+i) o (-1+i)-(5+4i) y luego multiplico,no se si me explico ,aun no hice el ejercicio;puesto que no se empezarlo
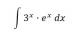
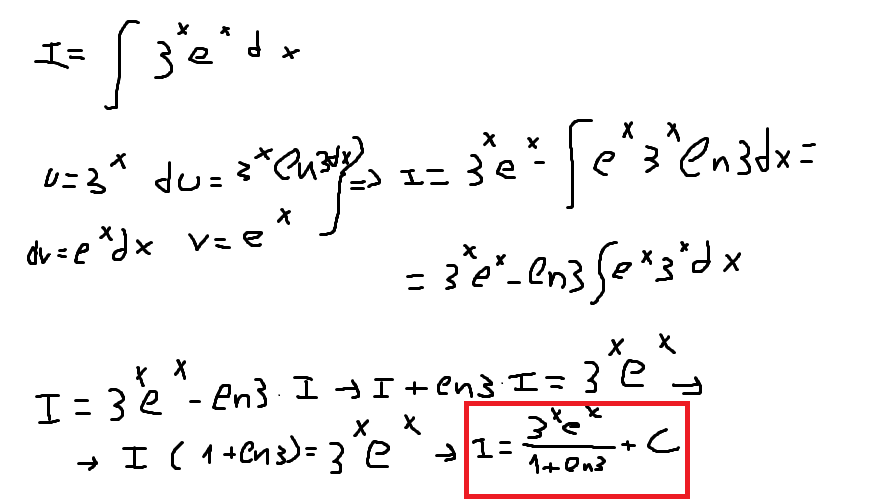
Hoola! Hola, por más que intento la integral de la foto no me sale, apliqué integración por partes pero siempre me da lo mismo. La solución propuesta es 3^x . e^x / ln3 +1 + C Gracias