
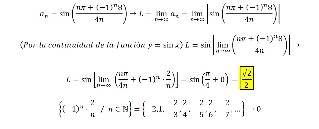
Siii ya me di cuenta ,se me ocurrio que tal si se ve de esta manera ,si tomo en cuenta el signo noto que los negativos se van acercando a 0 por la izquierda y los positivos se le acercan por la derecha
esa forma de ver el problema estaria correcta o siempre se debe analizar teniendo en cuenta la independencia del signo
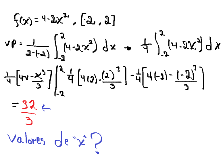
Hola hago una consulta un poco fuera de lugar. es de universidad cónicas en r3, por si alguno me podría dar una mano: Hallar la ecuación de la superficie esférica con centro sobre el eje x, que pasa por los puntos A( -1,3,2) B (3,1,-1)
Lo que intente hacer fue usar la ecuación general de la circunferencia en r3 y reemplazar en los puntos, para obtener dos ecuaciones ,y luego hacer otra ecuación reemplazando por la recta X = ( y=0 & z=0 ), y me queda x^2 +ax +d =0 Pero no me ayuda mucho porque tengo 4 incógnitas y cuatro ecuaciones. Entonces no se como se hace, que estoy haciendo mal? que me falta saber ?
Aquí el ejer. 7. En los dos triángulos he calculado los ángulos que faltaban restando los que me dan a 180º. Con el TSen he hallado los lados de cada triángulo que me faltaba y después en el último triángulo, he hallado el ángulo que forma a los dos lados sumando 73º + 71º que son los ángulos de los otros dos triángulos, y cuando he obtenido el ángulo (36º) con el TCos he hallado la distancia de A a B que era lo que me pedían. Mi duda es si he hecho bien el paso 4. Gracias. Por si no veis bien el enunciado, os he dejado la fotocopia del examen en mi primer comentario. Muchas gracias.
Soy Lucía de nuevo, aquí os dejo los ejercicios que he sabido hacer del comentario anterior que os he puesto. 4 y 5 no sé cómo se harían... Gracias! Por este comentario os dejo el ejer. 6
Hola, ¿podríais hacerme esto ejercicios? El 6 y el 7 los he hecho pero no sé si estarán bien y los que quedan no sé cómo se hacen. ¡Muchas gracias! Si es posible, ayudarme antes del martes, que es la recuperación :(( Gracias de nuevo. Saludos.

Para el primero.. Trigonometria - Resolucion de un triangulo rectangulo
El sen15 y el cos15 debes obtenerlo como sen(45-30) y cos(45-30) respectivamente usando las identidades sen(a-b) y cos(a-b)
Para el segundo... Trigonometria -Teorema del coseno Trigonometria -Teorema del seno
Se trata de que DESPUES DE IR A CLASE (ver los vídeos relacionados con vuestras dudas) enviéis dudas concretas, muy concretas. Y que nos enviéis también todo aquello que hayais conseguido hacer por vosotros mismos. Paso a paso, esté bien o mal. No solo el enunciado. De esa manera podremos saber vuestro nivel, en que podemos ayudaros, cuales son vuestros fallos.... Y el trabajo duro será el vuestro. #nosvemosenclase Nos cuentas ¿ok?