Quisiera hacerme usuario pro de unicoos, pero antes me gustaria que revisaran al menos 2 ejercicios de un examen de acceso para la uned, he de dar las gracias a vosotros , de que lo he aprobado, ya que los libros de la UNED son ilegibles. A ser posible , ejercicio 3 y el 5, que son los dos que he fallado.
https://ibb.co/68fb96H
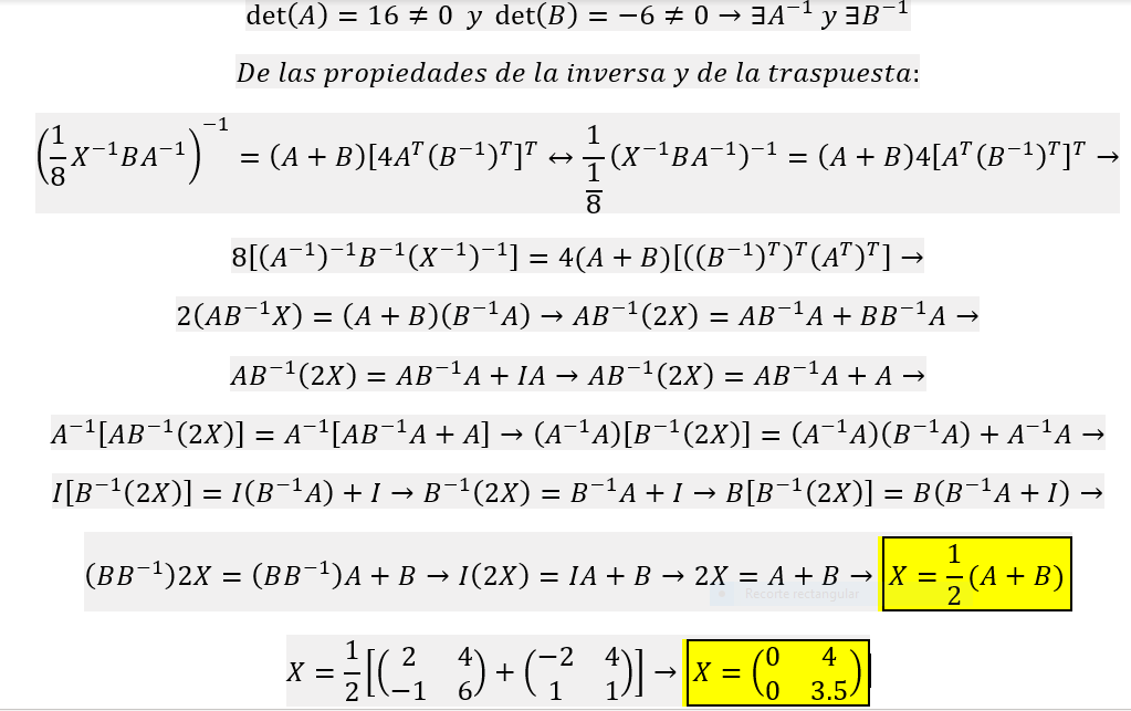
Hola alguien me puede ayudar con este ej? Gracias.
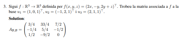
Sea f: R^3->R^3 definida por ... Encontrar la matriz asociada a f en la base ...
¿Cómo resolver esta ecuación diferencial de primer orden empleando el método de variables separables?
Necesito resolver la siguiente ecuación diferencial de primer orden empleando el método de variables separables, indicando la razón o argumento de cada paso en el procedimiento efectuado.
Me seria de gran ayuda la respuesta, muchas gracias de antemano.

¡Hola! Nos encantaría ayudarte, pero no solemos responder dudas universitarias que no tengan que ver específicamente con los vídeos que David Calle ha grabado como excepción. O de otras asignaturas que no sean Matemáticas, Física y Química. Lo sentimos de corazón… Esperamos que lo entiendas.
Ojalá algún unicoo universitario se anime a ayudarte (de hecho, lo ideal es que todos los universitarios intentarais ayudaros los unos a los otros).