Foro de preguntas y respuestas de Matemáticas

logo beUnicoos
Los foros de unicoos se han unificado en nuestra nueva plataforma beUnicoos. Para dejar nuevas preguntas deberás hacerlo allí, donde además podrás encontrar nuevas asignaturas y herramientas para ayudarte más con tus estudios.

  • icon

    lbp_14
    el 22/1/19

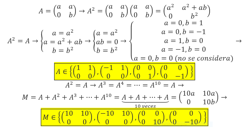
    Hola Unicoos he sacado cuando M puede ser invertible pero no consigo saber cuándo M^25 es invertible. No se como se haría.

    Me podrían ayudar?

    Muchas gracias



    replythumb_up0 voto/sflag
    icon

    Antonius Benedictus
    el 22/1/19

    Si M es invertible, cualquiera de sus potencias lo es..

    thumb_up1 voto/sflag
    icon

    Antonio Silvio Palmitano
    el 22/1/19

    Recuerda la propiedad:

    (M25)-1 = (M-1)25,

    por lo que tienes que si la matriz M es invertible, entonces también lo es M25.

    Espero haberte ayudado.

    thumb_up0 voto/sflag
  • icon

    Mel
    el 22/1/19

    Hola podrían ayudarme con este ejercicio , quiero saber como hacer para saber si tiene conjunto solución o union de intervalos . Gracias

    replythumb_up0 voto/sflag
    icon

    Antonius Benedictus
    el 22/1/19

    Para que se cumplan ambas condiciones (el símbolo  es la conjunción), ha de ser x>25  y  x<-3, lo cual es imposible,

    El conjunto de soluciones es ∅ (conjunto vacío)






    thumb_up0 voto/sflag
  • icon

    Paloma Martínez
    el 22/1/19

    Buenas,

    En el apartado de radicales de los ejercicios  uno de los ejemplos es el siguiente:

    ¿Es correcto? Simplificando 182 no me da ese resultado. Sólo si el radicando es 162 pero no es el caso.

    Gracias!

    replythumb_up0 voto/sflag
    icon

    Antonius Benedictus
    el 22/1/19

    Tienes razón . Es una errata.en el radicando ha de poner 162.

    thumb_up0 voto/sflag
  • Usuario eliminado
    el 22/1/19

    hola buen día, tengo un problema con este ejercicio me podrías ayudar por favor, seria de gran ayuda . gracias 


    replythumb_up0 voto/sflag
    icon

    Antonius Benedictus
    el 22/1/19


    thumb_up0 voto/sflag
  • icon

    Alicia De Diego de Amorim
    el 21/1/19

    Como se haría el ejercicio 1?

    replythumb_up0 voto/sflag
    icon

    Antonius Benedictus
    el 21/1/19


    thumb_up1 voto/sflag
  • icon

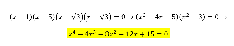
    Burches15
    el 21/1/19

    Buenas, me podríais ayudar con el siguiente ejercicio.

    Escribe una ecuación cuyas soluciones sean -1, 5, √3 y -√3


    Gracias


    replythumb_up0 voto/sflag
    icon

    Antonius Benedictus
    el 21/1/19


    thumb_up0 voto/sflag
  • icon

    Alex Boca
    el 21/1/19

    Buenas, tengo un problema de matemáticas financiares que me está costando resolver.

    ¿Durante cuánto tiempo ha de invertirse un capital de 12000€ al 6% de interés compuesto para llegar a un montante de 13950€ si la capitalización se produce trimestralmente?



    replythumb_up0 voto/sflag
    icon

    Antonius Benedictus
    el 21/1/19


    thumb_up1 voto/sflag
    icon

    Alex Boca
    el 21/1/19

    Buenas,

    Gracias por la respuesta, he entendido el razonamiento usado pero me he atascado al ver el logaritmo, ¿por qué se usa?

    thumb_up0 voto/sflag
    icon

    Antonius Benedictus
    el 21/1/19

    Para despejar un exponente hay que usar logaritmos (salvo resultado exacto).

    thumb_up1 voto/sflag
    icon

    Alex Boca
    el 21/1/19

    ¡Muchas gracias!

    thumb_up0 voto/sflag
  • icon

    Óscar Míguez
    el 21/1/19

    Buenas tardes si me pueden ayudar con estos problemas.

    Calcula dos números tales que el doble del primero más el triple del segundo valga 78 y que si al primero se le suman 6 unidades queda igualado al segundo.


    La diferencia entre la altura de Claudia y su hermano Javier es 0.25 m y la suma del doble de la altura de Claudia más la altura de javier es 4,70m. ¿Cuánto miden Claudia y Javier?


    replythumb_up0 voto/sflag
    icon

    Quiroga
    el 21/1/19

    Son sistemas de ecuaciones: 

    a) 2x+3y = 78
        x -y = -6

    b) x -y = 0,25
        2x-y = 4,75

    En este caso x es Claudia e Y es Javier 

    thumb_up0 voto/sflag
    icon

    Guillem De La Calle Vicente
    el 21/1/19


    thumb_up1 voto/sflag
  • icon

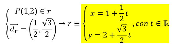
    Quiroga
    el 21/1/19

    Hola alguien me puede explicar este ej?, gracias!

    - Da una paramentrización de la recta que pasa por el P(1,2) y que tiene como Vector director (1/2, (raiz de 3) /2 )

    He calculado la ecuacion vectorial y luego la general, he probado ha parametrizarlo, pero no sé si lo tengo bien. 



    replythumb_up0 voto/sflag
    icon

    Antonius Benedictus
    el 21/1/19


    thumb_up0 voto/sflag