
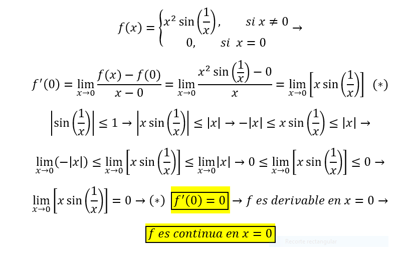
Planteamos la definición de derivada de la función en el punto en estudio: x0 = 0, y queda:
f ' (0) = Lím(h→0) ( f(0+h) - f(0) )/h = Lím(h→0) ( f(h) - f(0) )/h = Lím(h→0) (1/h)*( f(h) - f(0) );
aquí sustituyes expresiones (observa que el primer término del numerador corresponde al primer trozo de la expresión de la función, y que el valor del segundo término corresponde al segundo trozo), y queda:
f ' (0) = Lím(h→0) (1/h)*( h2*sen(1/h) - 0 ) = Lím(h→0) (1/h)*h2*sen(1/h) = Lím(h→0) h*sen(1/h) = 0 (1).
Luego, observa que el argumento del límite es una multiplicación entre una expresión (h) que tiende a cero, por otra expreión ( sen(1/h) ) que toma valores comprendidos entre -1 y 1, por lo que está acotada, y se cumple: │sen(1/h)│ ≤ 1 (2).
Luego, planteamos el Teorema de Acotación (o Teorema de Encaje, o Teorema "del sándwich") para demostrar que el límite señalado (1) es Válido:
│Lím(h→0) h*sen(1/h)│ =
= Lím(h→0) │h*sen(1/h)│ = Lím(h→0) │h│*│sen(1/h)│ ≤
aquí sustituyes el valor señalado (2) en el segundo factor del argumento del límite, y queda:
≤ Lím(h→0) │h│*1 = Lím(h→0) │h│ = 0;
luego, observa que con la cadena de igualdades y desigualdades hemos mostrado que el valor absoluto del límite (que es positivo, como todo valor absoluto) es menor o igual que cero,
por lo que tienes que el valor absoluto del límite es igual a cero porque no puedes ser menor que cero, por lo que tienes:
│Lím(h→0) h*sen(1/h)│ = 0,
de donde tienes:
Lím(h→0) h*sen(1/h) = 0,
y por lo tanto puedes concluir:
f ' (0) = 0.
Espero haberte ayudado.
Hola me podríais ayudar con este problema, por favor? Mi profesora intentó expliclarlo pero no lo entendí y en youtube tampoco me entero, gracias.
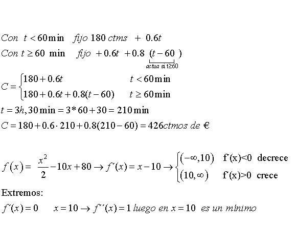
En un parking de la zona nos cobran por dejar el vehículo un fijo diario de 1’8 euros y una parte variable a razón de 6 céntimos el minuto (o la parte proporcional si es una fracción del mismo) si lo dejamos un tiempo inferior a una hora y 8 céntimos el minuto (o la parte proporcional si es una fracción del mismo) si iguala o sobrepasa la hora.Pensamos dejar el coche en el parking.
a) Escribe la expresión analítica de la función que indica el gasto ocasionado en función del número de minutos que dejamos el vehículo en el parking (Se recomienda pasar todas las cantidades a céntimos).
b) ¿Cuánto costará dejar el coche 3 horas y media?
c) Escribe el dominio y recorrido de la función representada si permanece nuestro coche 3 horas y media estacionado.
d) Como tarifa nocturna, a partir de las 24h, el coste del aparcamiento viene dado por la función f(x)= x2/2-10x+80. Calcula la monotonía y extremos de esta función.
GRACIAS!! :)
Hola buenas noches. Este ejercicio que os voy a mostrar el procedimiento sé hacerlo pero no sé hacer la derivada. La función es: N(t)=1000(25+te^(-t/20)).
En esta función hay que hacer derivación logarítmica, pero antes multiplicar el paréntesis para que quede más sencillo.

N'(t) = (1000(25 + t e(-t/20) )' = (25000 + 1000 t e(-t/20) )' = (25000)' + (1000 t e(-t/20) )' = 0 + 1000 (t e(-t/20) )'
Derivo (t e(-t/20) ) aparte: (Utilizo derivada de una multiplicación y regla de la cadena)
(te(-t/20) )' = t' (e(-t/20) ) + t (e'(-t/20) ) (-t/20)' = e(-t/20) + te(-t/20) * -1/20 = e(-t/20) - te(-t/20) /20
Volviendo a la ec original:
N'(t) = 1000 (e(-t/20) - te(-t/20) /20) = 1000e(-t/20) - 1000/20 te(-t/20) = 1000e(-t/20) - 50te(-t/20)
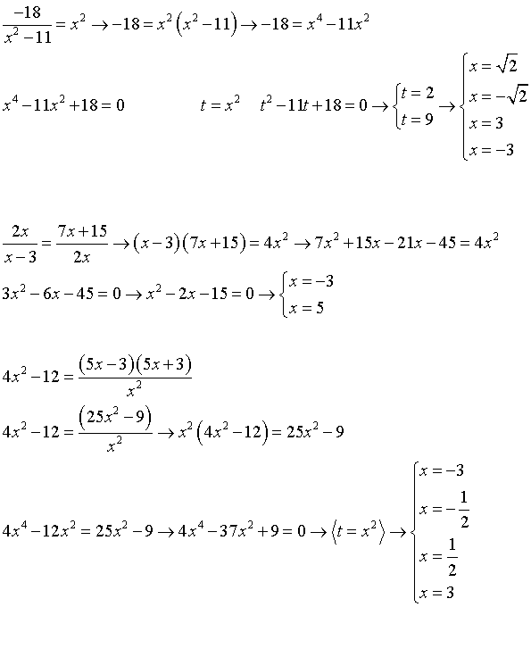
Hola a todos. Mañana por la tarde tengo un examen y no logro entender este tipo de ecuaciones. Sé hacerlas de segundo grado, pero cuando a éstas se le añaden fracciones con x me pierdo totalmente. Si alguien me lo pudiera explicar, lo agradecería muchísimo. O bien indicarme que video ver para llegar a entenderlo. He de decir que he visto muchos ya pero no he dado con el idóneo que me aclare estas dudas. Gracias de antemano.

En todos estos casos donde no hay términos sumando o restando fuera del denominador, puedes despejar el denominador directamente (o multiplicar en cruz).
Luego desarrollas las expresiones, reordenas términos y resuelves.
2x/(x-3) = (7x+15)/(2x) => 2x 2x = (7x+15)(x-3)
-18/(x2-11) = x2 => -18 = x2 (x2-11)
4x2-12 = (5x-3)(5x+3)/x2 => x2(4x2-12) = (5x-3)(5x+3)
Si con eso aun no puedes resolver alguno, avisa.
Buenas, a ver si alguien me puede ayudar con este problema, que parece sencillo, pero me esta costando horrores:
Sea x la distancia desde donde se encuentra a su casa
Sea y la distancia desde donde se encuentra al parque
Sea v la velocidad a la que va a pié, por lo que será 7v la velocidad que va en bici
como el tiempo que se tarda es igual al espacio que se recorre entre la velocidad tenemos que:
el tiempo que tardaría en ir a pié al parque es t=y/v
y el tiempo que tardaría en regresar a casa a pié más en ir al parque en bici es t=x/v + (x+y)/7v
como tarda el mismo tiempo an ambas opciones
y/v = x/v + (x+y)/7v
resolvendo
7y=7x+x+y
6y=8x
y por último si dividimos por 8y en ambos miembros
x/y=6/8