Foro de preguntas y respuestas de Matemáticas

logo beUnicoos
Los foros de unicoos se han unificado en nuestra nueva plataforma beUnicoos. Para dejar nuevas preguntas deberás hacerlo allí, donde además podrás encontrar nuevas asignaturas y herramientas para ayudarte más con tus estudios.

  • icon

    Antonio Omg
    el 20/1/19

    Alguien sabe hacer el 20??

    replythumb_up0 voto/sflag
    icon

    Antonius Benedictus
    el 21/1/19


    thumb_up0 voto/sflag
  • icon

    inpernu
    el 20/1/19

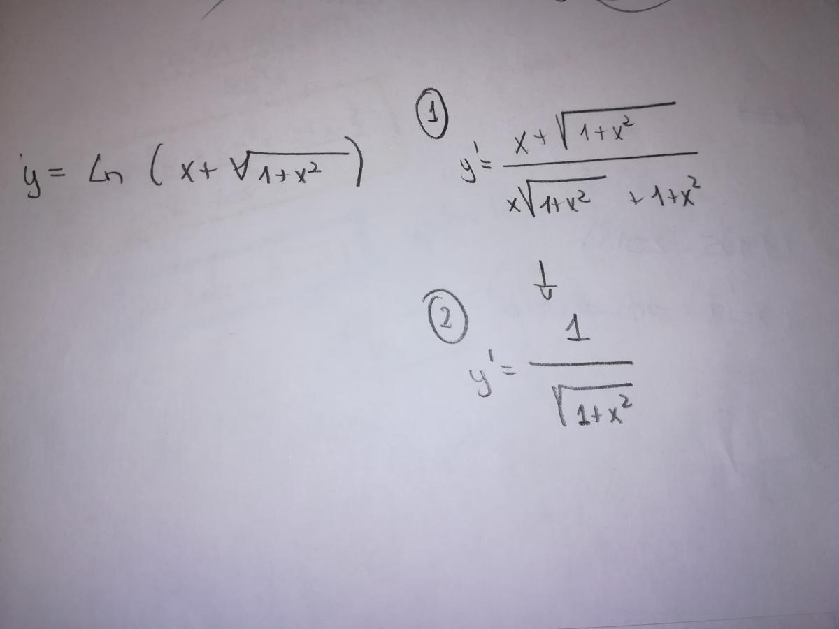
    Tengo una última duda, muchas gracias Antonio

    Me piden la derivada de la función, a mi me sale de la forma 1 pero me piden que llegue hsta la forma 2, pero no se cómo...

    replythumb_up1 voto/sflag
    icon

    Antonius Benedictus
    el 20/1/19


    thumb_up0 voto/sflag
  • icon

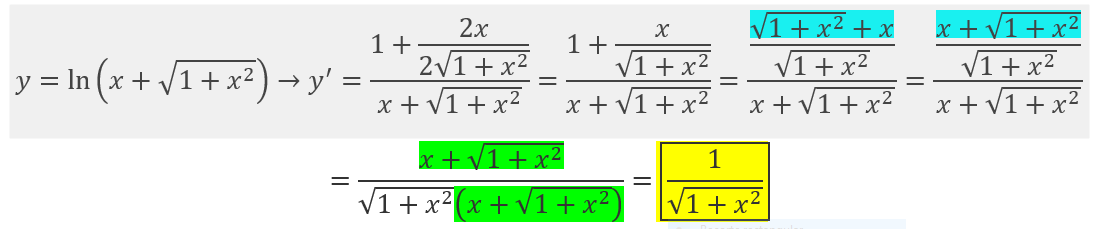
    inpernu
    el 20/1/19

    HOla Antonio, a mi me da así, ¿me puedes decir lo que hago mal?

    replythumb_up0 voto/sflag
    icon

    Antonius Benedictus
    el 20/1/19

    Lo tienes bien. 

    Lo que sucede es que 2*sin(x)*cos(x) es también sin(2x)

    thumb_up0 voto/sflag
  • icon

    inpernu
    el 20/1/19

    alguien puede ayudarme con esta derivada?


    y= senx/2cos^2x

    replythumb_up0 voto/sflag
    icon

    Antonio
    el 20/1/19

    la derivada de (senx)/(2cos2x) es 

    thumb_up0 voto/sflag
  • icon

    Quiroga
    el 20/1/19

    Alguien me puede ayudar, gracias!


    Es imposible para un sistema de ecuaciones lineales tener exactamente 2 soluciones? Explique el motivo.

    (A) Si (x, y, z) y (X, Y, Z) son dos soluciones, cuál es otra? 

    (B) Si 25 planes interseccionan en 2 puntos, donde mas interseccionan?


    La A) no sé como responderla y la B) supongo que es en la recta definida por los 2 puntos. 

    replythumb_up0 voto/sflag
    icon

    Antonio
    el 20/1/19

    A) un sistema de ecuaciones lineales (primer grado) solo puede tener una solución ( sistema compatible determinado), ninguna solución (sistema incompatible) o infinitas soluciones (sistema compatible indeterminado)

    por lo tanto si se encuentran dos, es que existen infinitas siendo el sistema compatible indeterminado

    las soluciones de ese sistema serán (x+t(X-x),y+t(Y-y),z+t(Z-z)) donde tℛ, por lo tanto una solución más sería sustituyendo la t por cualquier número (diferente a 0 o a 1 pues darían las ya dadas), por ejemplo sustituimos la t por 2 dando el punto (2X-x,2Y-y,2Z-z)

    B) efectivamente, se cortan en una recta definida por esos dos puntos

    thumb_up1 voto/sflag
  • icon

    necronomicion00
    el 20/1/19

    Calcula el area de esta parcela irregular dadas las medidas.

    replythumb_up0 voto/sflag
    icon

    Antonius Benedictus
    el 20/1/19

    Pon a trabajar a tu calculadora.


    thumb_up0 voto/sflag
  • icon

    carmela
    el 20/1/19

    Mediante factor de conversión, ¿cómo se pasa de g/cm^3 a g/micrómetros cúbicos?

    Gracias.

    replythumb_up0 voto/sflag
    icon

    César
    el 20/1/19


    thumb_up0 voto/sflag
    icon

    Fernando Alfaro
    el 20/1/19

    g/cm3 = g/cm3 * (cm/10-2m)3 * (10-6m/µm)3 = g/cm3  * cm3 / 10-6m3  * 10-18mµm3 = 10-18/10-6 g/µm3   = 10-18 * 106 g/µm3 = 10-12 g/µm3


    thumb_up0 voto/sflag
  • icon

    Sara Inés Díaz Suárez
    el 20/1/19

    Hola, una preguntita, a ver si alguien me puede resolver esta duda.¿Los límites que dan indeterminación ∞/∞ se podrían resolver haciendo un cambio a una indeterminación 0/0 siempre? Es que ya me ha pasado varias veces que resuelvo un límite de cociente de polinomios (de forma general: f(x)/g(x)) y me da una indeterminación de ∞/∞, lo cambio a 0/0 (haciendo 1/g(x)/1/f(x)) y luego resuelvo con L'hopital y no me da lo mismo que cuando por ejemplo, resuelvo el límite con algún otro método. Estoy empezando a pensar que los cambios de indeterminación de ∞/∞ a 0/0, entre otros, solo se pueden hacer en ciertos casos específicos y no sé cuáles son esos casos. (Estoy en la universidad)

    replythumb_up0 voto/sflag
    icon

    Antonius Benedictus
    el 20/1/19

    No es necesario que efectúes esa transformación, puesto que la regla de L'Hôpital es también aplicable a cociente entre infinitos. Solo se recomienda cuando las expresiones obtenidas son más sencillas de derivar que las originales.

    thumb_up1 voto/sflag
    icon

    Sara Inés Díaz Suárez
    el 20/1/19

    Aaah vale, muchas gracias por contestar :).

    thumb_up0 voto/sflag
  • icon

    Martina Mejía
    el 20/1/19
    flag

    hola alguien puede explicarme como sacar el momento de reposo en un ejercicio de MCUV en el que los datos son :

    4kg

    0,2m

    360rpm

    Torque de fricción de 0,12 N xm

    replythumb_up0 voto/sflag
    icon

    Antonius Benedictus
    el 20/1/19

    Mejor en el Foro de Física, Martina.

    thumb_up0 voto/sflag
  • icon

    Quiroga
    el 20/1/19

    Hola este problema me ha dado a = 2, pero no sé si esta bien ya que entonces daría infinitas soluciones. Si alguien me puede ayudar de lo agradecería. 


    Estas ecuaciones verifican la solucion x=y=0. Para que valores de "a", la solucion és una recta?

    ax + 2y = 0
    ay + 2x =0 



    replythumb_up0 voto/sflag
    icon

    César
    el 20/1/19

    Si te fijas bien para a =2 y a =-2 son dos rectas y=x y=-x


    thumb_up1 voto/sflag
    icon

    Quiroga
    el 20/1/19

    Vale, entiendo, muchas gracias!

    thumb_up0 voto/sflag