La función y = f ( x ) tiene las siguientes propiedades:
i. Su dominio es la recta real excepto los puntos -1 y 1. Es continua en todo su dominio y corta el eje OX en el punto (2,0).
ii. Tiene una asíntota horizontal en yH = 0, con f(x)>0 si x<2 y f(x)<0 si x>2, x ≠ ±1.
iv. Tiene una asíntota vertical en x = 1 su lim por la derecha e izquierda es +∞ y en x=-1 su lim por la derecha e izquierda es +∞
v. Tiene un mínimo en (4,-2) y otro en (0,3). No tiene máximos.
a) Determina los intervalos de crecimiento y de decrecimiento.
Hola Unicoos,necesito ayuda con este ejercicio, no se como hallar la función de este problema, estuve buscando algún vídeo que me pudiera ayudar con este ejercicio y no lo he encontrado, me podrían ayudar? También algún vídeo de youtube me ayudaría mucho. Muchas gracias
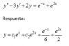
Hola a todos. Alguien me podría ayudar con la siguiente ecuación diferencial:
Resuelva las siguientes ecuaciones diferenciales lineales de segundo orden con coeficientes constantes y completas. (Segundo miembro no nulo)
muchas gracias!

Me encantaría ayudarte, pero no respondo dudas universitarias que no tengan que ver específicamente con los videos que ya he grabado como excepcion. O de otras asignaturas que no sean matemáticas, física y química. Lo siento de corazón… Espero lo entiendas
Ojalá algun unicoo universitario se anime a ayudarte (de hecho lo ideal es que todos los universitarios intentarais ayudaros los unos a los otros)
Hola tengo un problema que dice asi:
En una bolsa hay 5 monedas justas y 10 monedas injustas, la probabilidad de sacar cara con una moneda injusta es del 80%, voy a meter la mano en la bolsa y voy a sacar una moneda, y depsues voy a lanzarla 6 veces. cual es la probabilidad de haber escojido una moneda justa dado que saqué 4 caras.?