Hola quería saber cómo sacar el dominio, imagen, ordenada al origen, etc, a este ejercicio Y = (x+9) -1
Eso es todo muchísimas gracias y felices fiestas
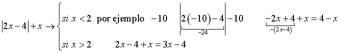
Estás seguro del enunciado?
Reoresenta una recta , por lo tanto su Dominio es todo R
Si igualas y=0 tendrás que x=-8
es donde corta al eje x
si x=0 y=8 corte eje Y
Si es como creo y=1/(x+9) presenta asíntota vertical en los ceros del denominador x=-9
su Dom es R-{-9}
f´(x)=-1/(x+9)2 Por lo que es decreciente ya que f´(x)<0
Al no anularse nuca la f´(x) no tiene extremos


Observa el elemento de área que hemos trazado en el gráfico, cuyo espesor es: dx, y cuya longitud es L = f(x),
y corresponde a la longitud de la base del triángulo equilátero que es sección transversal del sólido.
Luego, expresas el área del triángulo rectángulo en función de la longitud de su lado, y queda:
ATR = (1/2)*L2*sen(π/3),
reemplazas el valor exacto de la razón trigonométrica, reduces y ordenas factores, y queda:
ATR = (√(3)/4)*L2,
sustituyes la expresión remarcada en el último factor, y queda:
ATR = (√(3)/4)*( x*√(3*arctanx) )2,
distribuyes la potencia entre sus factores, simplificas, ordenas factores, y queda:
ATR = (√(3)/4)*(arctanx*3x2);
luego, planteas la expresión del diferencial de volumen en función del área de sección transversal, y queda:
dV = ATR*dx,
sustituyes la expresión del área, y queda:
dV = (√(3)/4)*(arctanx*3x2)*dx (1).
Luego, planteas la integral de la expresión señalada (1), extraes el primer factor constante y la expresión del volumen del sólido queda:
V = (√(3)/4) * 0∫1 (arctanx*3x2)*dx;
luego, aplicas el Método de Integración por Partes (u = arctanx, dv = 3x2*dx, te dejo el planteo, y observa que indicamos con corchetes que debemos evaluar con Regla de Barrow entre x = 0 y x = 1), y queda:
V = (√(3)/4) * [ x3*arctanx - ∫ ( x3/(x2+1) )*dx ];
luego, efectúas la división entre el numerador y el denominador de la integral ( observa que el cociente es: C(x) = x, que el resto es: R(x) = -x, y que el argumento puede expresarse en la forma: x - x/(x2+1) ), separas la integral en términos (presta atención a los signos en este paso), y queda:
V = (√(3)/4) * [ x3*arctanx - ∫ x*dx + ∫ ( x/(x2+1) )*dx ];
luego, resuelves las integrales (observa que la primera es directa, y que en la segunda puedes aplicar la sustitució, o cambio de variable: w = x2+1), y queda:
V = (√(3)/4) * [ x3*arctanx - (1/2)*x2 + (1/2)*ln(x2+1) ];
luego, aplicas la Regla de Barrow (recuerda que los límites de integración son x = 0 y x = 1), y qued<:
V = (√(3)/4) * ( ( 13*arctan1 - (1/2)*12 + (1/2)*ln(12+1) ) - ( 03*arctan0 - (1/2)*02 + (1/2)*ln(02+1) ) );
resuelves expresiones en los dos agrupamientos (observa que todos los términos del segundo agrupamiento son iguales a cero), cancelas términos nulos, y queda:
V = (√(3)/4) * ( π/4 - 1/2 + (1/2)*ln(2) ),
distribuyes el denominador del factor común entre todos los términos del agrupamiento, y queda:
V = √(3) * ( π/16 - 1/8 + (1/8)*ln(2) ) ≅ 0,274.
Luego, debes consultar con tus docentes, pues observa que tenemos una discrepancia con el signo del término con el factor logarítmico, y seguramente se trata de un error de impresión en el solucionario de tu enunciado (observa que si evalúas con tu calculadora la expresión que tienes en tu enunciado te queda un valor negativo, lo que no corresponde al volumen de un sólido).
Espero haberte ayudado.
Hola unicoos me pueden ayudar con este problema de examen final, les cuento que no tengo imagen del mismo solo me acuerdo lo que decía, era lo siguiente:
Me pedían que sacará la cantidad de árboles de manzanas que entraban en una hectárea, y me daban la fórmula de producción de manzanas que era P(x) =500x-5x^2
Buenas tardes, esta pregunta (no. 3) de r. al primer cuadrante no sé en dónde graficar el triángulo de 90-alfa. La resolución mía está mala.
hola este trimestre tengo que estudiar lo siguiente: Representacion de funciones elementales. Funciones definidas a trozos. Limites y continuidad de funciones. Derivadas. Aplicaciones de las derivadas.Problemas de optimización de funciones. Estoy en ciencias sociales de 2 bachillerato. que videos son los que debo ver?