Hola buena día, ¿me podría ayudar con este problema? Es teorema de residió, tengo entendido que tengo que aplicar la división sintética.
F(x)= Cos(0.5x)-0.9x y X0=x-0.8

¡Hola! Nos encantaría ayudarte, pero no solemos responder dudas universitarias que no tengan que ver específicamente con los vídeos que David Calle ha grabado como excepción. O de otras asignaturas que no sean Matemáticas, Física y Química. Lo sentimos de corazón… Esperamos que lo entiendas.
Ojalá algún unicoo universitario se anime a ayudarte (de hecho, lo ideal es que todos los universitarios intentarais ayudaros los unos a los otros).
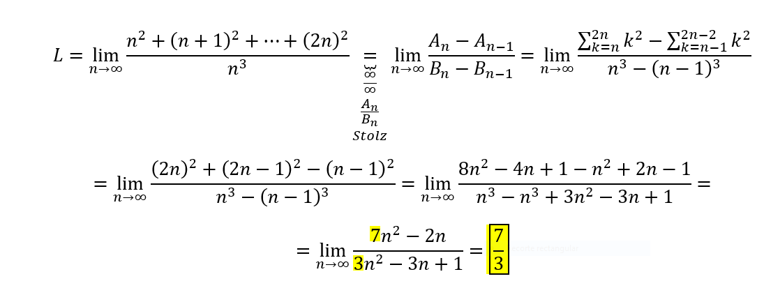
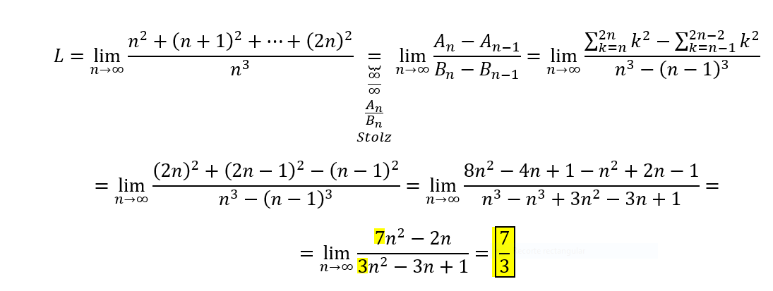
hola buenas como se calcula el limite cuando n tiende a infinito en este ejercicio:
( n2 + (n+1)2 +...+(2n)2 ) / n3
la solucion dice 7/3 aplicando el criterio de stolz pero a mi no me da
gracias de antemano

Vamos con una orientación.
Observa que la expresión del argumento del límite puede escribirse:
A(n) = ( (n+0)2 + (n+1)2 + (n+2)2 + ... + (n+n)2 ) / n3;
luego, observa que si extraes factor común (n2) en el numerador, y operas en cada uno de sus términos, obtienes la expresión:
A(n) = n2 * ( (1+0/n)2 + (1+1/n)2 + (1+2/n)2 + ... + (1+n/n)2 ) / n3;
luego, simplificas factores, y queda:
A(n) = ( (1+0/n)2 + (1+1/n)2 + (1+2/n)2 + ... + (1+n/n)2 ) / n;
luego, expresas al divisor como un factor, y queda:
A(n) = (1/n) * ( (1+0/n)2 + (1+1/n)2 + (1+2/n)2 + ... + (1+n/n)2 ).
Luego, observa que si consideras el intervalo: D = [1,2],
y luego lo divides en n subintervalos,
entonces tienes que los términos del agrupamiento son los valores que toma la función cuya expresión es:
f(x) = x2 en cada uno de los puntos de corte entre subintervalos;
y observa que en los extremos del intervalo, tienes los valores:
f(1) = 12 = 1, que se corresponde con el primer término del agrupamiento: (1+0/n)2 = (1+0)2 = 12 = 1,
f(2) = 22 = 4, que se corresponde con el primer término del agrupamiento: (1+n/n)2 = (1+1)2 = 22 = 4;
luego, tienes que la longitud de la base de cada subintervalo es: (2-1)/n = 1/n;
y si consideras todo, tienes que la expresión del argumento es la suma de las áreas de todos los rectángulos que tienen base en los subintervalos y altura determinada por los valores que toma la función en sus extremos izquierdos;
por lo que tienes la expresión de una suma de Riemann que permite calcular la integral de la función en el intervalo indicado.
Luego, tienes:
Lím(n→+∞) A(n) = 1∫2 f(x)*dx = 1∫2 x2*dx = [ x3/3 ] = evalúas = 23/3 - 13/3 = 8/3 - 1/3 = 7/3.
Como observación, puedes apreciar que tienes n+1 términos en el numerador del argumento del límite, por lo que se ha agregado "un rectángulo de Riemann" de más, pero como la altura de ester rectángulo es 4 y su base tiene longitud infinitesimal (1/n), puedes considerar que no modifica el resultado.
Espero haberte ayudado.
Cuando estudiamos una función (en este caso una fracción), a la hora de estudiar el crecimiento y el decrecimiento tenemos que estudiar el signo de la derivada de la función y sacar puntos para la recta (igualar a cero la derivada para sacar cuando se anula, y las interrupciones, para colocar los puntos en la recta y estudiar el signo). Mi pregunta es: para ver si tiene interrupciones o no, que hay que igualar a cero el denominador de la derivada o el de la función sin derivar.
hola buenas como se calcula el limite cuando n tiende a infinito en este ejercicio:
lim =( n2 + (n+1)2 +...+(2n)2 ) / n3
gracias de antemano
En el numerador hay sumas de varios binomios, dígase n+0, n+1, n+2,... y n+n, al cuadrado. Cada uno de estos sumandos tiene grado 2, por lo que todo el numerador tendría grado dos.
Por otro lado el denominador tiene grado tres.
Como el grado del numerador es superior al del denominador el límite será cero

Vamos con una orientación.
Puedes plantear las bases de los tres subespacios, tales que el vector u = <1,1,-1> sea un elemento común a todas las bases, y que los segundos elementos sean todos linealmente independientes entre sí (y como cada uno de ellos conforma una base con el vector u, también deben ser linealmente independientes con respecto a él).
Por ejemplo, tienes estos tres subespacios:
B1 = { <1,1,-1> , <1,0,0> } es la base del subespacio S1,
B2 = { <1,1,-1> , <0,1,0> } es la base del subespacio S2,
B3 = { <1,1,-1> , <0,0,1> } es la base del subespacio S3.
Observa que los tres subespacios tienen dimensión 2, observa que el subespacio L es a su vez un subespacio de cada uno de ellos.
Luego, puedes plantear un vector genérico: u =
a*<1,1,-1> + b*<1,0,0> =
c*<1,1,-1> + d*<0,1,0> =
restas miembro a miembro entre ambas ecuaciones, y queda:
a*<1,1,-1> + b*<1,0,0> - (c*<1,1,-1> + d*<0,1,0>) =
distribuyes y ordenas términos en el primer miembro, resuelves el segundo miembro:
a*<1,1,-1> - c*<1,1,-1> + b*<1,0,0> - d*<0,1,0> = <0,0,0>,
extraes factor común vectorial entre los dos primeros términos, y queda:
(a-c)*<1,1,-1> + b*<1,0,0> - d*<0,1,0> = <0,0,0>.
Luego, observa que la ecuación vectorial remarcada es una "combinación lineal nula" entre tres vectores linealmente independientes, por lo que tienes que todos sus factores escalares son iguales a cero, por lo que puedes plantear:
a - c = 0, de aquí despejas: a = c (3),
b = 0 (4),
-d = 0, de aquí despejas: d = 0 (5);
luego, sustituyes las expresiones señaladas (3) (4) (5) en las ecuaciones vectoriales señaladas (1) (2), y queda:
c*<1,1,-1> + 0*<1,0,0> =
c*<1,1,-1> + 0*<0,1,0> =
cancelas los términos nulos, y en las dos ecuaciones llegas a que la expresión del vector genérico queda:
por lo que tienes que este vector genérico pertenece al subespacio L, y, por lo tanto puedes concluir:
S1∩S2 = L.
En forma análoga, puedes probar:
S1∩S2 = L y S2∩S3 = L (te dejo la tarea).
Espero haberte ayudado.
En los cuadrados mágicos la suma de las filas, columnas y diagonales deben resultar el mismo número. Completa el siguiente cuadrado mágico:
51/25