
¡Hola! Nos encantaría ayudarte, pero no solemos responder dudas universitarias que no tengan que ver específicamente con los vídeos que David Calle ha grabado como excepción. O de otras asignaturas que no sean Matemáticas, Física y Química. Lo sentimos de corazón… Esperamos que lo entiendas.
Ojalá algún unicoo universitario se anime a ayudarte (de hecho, lo ideal es que todos los universitarios intentarais ayudaros los unos a los otros).
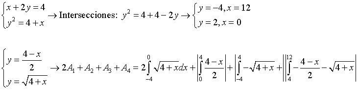
Hola, tengo una duda de como se hace esta integral. ¿Me podríais ayudar?
Muchas gracias.
∫(ex(x-1)- ex)/(x-1)2
El (x-1)2 está dividiendo lo demás de la integral.

Te recomiendo estas paginas, pones lo que quieres integrar y ademas del resultado te diran los pasos:
https://www.calculadora-de-integrales.com/
https://es.symbolab.com/solver/integral-calculator
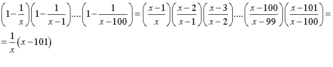
Le he preguntado a Tartaglia cuántos libros tiene para publicar y me ha dicho: " Si divides el número entre 2, el resto de la división será 1. Si divides el número entre 3, el resto será 2. Si divides el número entre 4, el resto será 3. Si lo divides entre 5, el resto será 4. Si lo divides entre 6, el resto será 5; entre 7, será 6; entre 8, será 7; entre 9, será 8 y entre 10 será 9. ¿Cuántos libros publicó?
Urgente por favor
Hola!! Alguién me puede ayudar? No encuentro el fallo de esta ecuación, yo pienso que la hago bien pero...
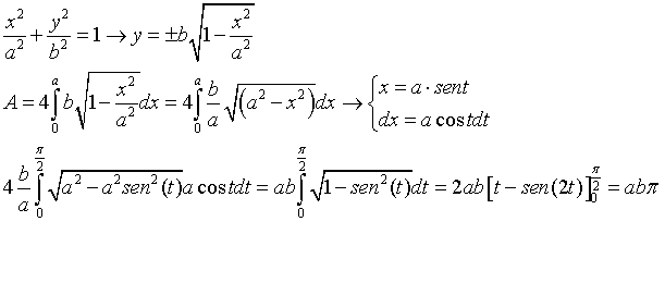
Hola , me podrian ayudar por favor con este problema.Ayer hice un examen de matematicas en el que cayó este problema de trigonometria y por mas que lo intentaba no me salia.Es el siguiente( lo pondré mas o menos de memoria):
Dos circunferencias son tangentes entre si.La mayor tiene un radio de 10 metros.Las rectas tangentes comunes a las dos circunferencia forman un ángulo de 40 grados.Calcula la distanciaque hay desde el centro de la circunferencia mayor al centro de la menor.
Mas o menos esto era el dibujo que hay q hacer y la distancia que habia que calcular: 