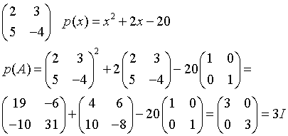
Hola buenas tardes unicoos. Necesito ayuda con este ejercicio sobre diagonalización de matrices. Sería de agrado si pudiesen indicarme el proceso de este ejercicio concretamente. Muchísimas gracias!

Puedes plantear la ecuación matricial para un autovector (v) y su correspondiente autovalor (λ):
A * v = λ*v.
Luego, tienes la expresión de la matriz (A) y del auto vector (v), por lo que haces el producto indicado en el primer miembro de la ecuación, y queda la expresión vectorial (observa que la consignamos horizontalmente):
A * v = < -3 , 6 , 0 > (1).
Luego, planteas el producto del autovalor (λ) por el autovector (v), y el producto indicado en el segundo miembro de la ecuación queda expresado (observa que consignamos horizontalmente):
λ*v = λ*< -1 , 2 , 0 > = < -λ , 2λ , 0 > (2).
Luego, sustituyes las expresiones señaladas (1) (2) en la ecuación matricial remarcada, y queda:
< -3 , 6 , 0 > = < -λ , 2λ , 0 >;
luego, por igualdad entre expresiones matriciales, igualas componente a componente, y queda el sistema:
-3 = -λ, y de aquí despejas: λ = 3,
6 = 2λ, y de aquí despejas: λ = 3,
0 = 0, que es una Identidad Verdadera.
Luego, tienes que el autovector: v = < -1 , 2 , 0 > está asociado al autovalor: λ = 3.
Espero haberte ayudado.
Hola Unicos. Este año en la opción de ciencias de segundo de bachillerato tenemos una pequeña parte de ampliación de matemáticas que no entra en la Ebau oero si califica en el curso. Os cuento esto porque a lo mejor esta pregunta es de universidad, pero mañana tengo que entregar un oequeño trabajo y tengo una duda. Os agradecería mucho si alguien pudiera aclarármela. ![]()
- Si nos encontramos en el punto (−1, −1) de un lugar cuyo perfil viene dado por f(x, y) = x 2 e y +xy y miramos en la direcci´on del eje x positivo: ¿vemos una cuesta hacia arriba o hacia abajo? Y si miramos en la direcci´on del eje y negativo? De todas las direcciones (360 grados) en las que podemos mirar a nuestro alrededor, en cu´al de ellas se divisa una cuesta abajo m´as pronunciada cerca de nosotros?
Este es parecido al de la pregunta b. Es exactamente lo que pregunta.

Has calculado correctamente el valor de la derivada parcial con respecto a y de la función en el punto en estudio:
fy(2,3) = 107,
y como su valor es positivo, tienes que si te desplazas con la dirección del semieje OY positivo a partir del punto (2,3), tienes que la gráfica de la función es creciente (o "cuesta hacia arriba");
luego, si te desplazas en la dirección del semieje OY negativo, tienes que la gráfica de la función es decreciente (o "cuesta hacia abajo").
Espero haberte ayudado.
Buenos días a todos. Me ha surgido una duda que seguramente es bastante básica pero me he perdido en Google buscando y no he sabido resolverla. Paso a plantear el problema que se me presenta:
- Tenemos una muestra de N valores (medidas del "mundo real") que conforman una normal (o se aproximan bastante bien a una normal). Un número suficiente (unos 10 000 o más puntos de medida). Estos puntos representan un valor incremental (un consumo) así que con el tiempo van creciendo.
- Procedo a clasificarlos (colas del 20% y el 60% central, básicamente).
- Elimino de mi población la mitad de la cola inferior. Es decir, tomo 1 000 de los valores elegidos exclusivamente de la cola inferior y los elimino de la muestra.
Evidentemente he "roto" la normal. Me quedan casi todos los valores (9 000 valores), pero una de las colas ha sido mermada. Por tanto la media se ha desplazado hacia arriba. ¿Cómo puedo modelar esta distribución? Claramente el número de miembros que caen en cada tramo por encima de la cola que he mermado no ha cambiado, pero sí la proporción que representan con respecto al total de puntos.
Un tiempo después vuelvo a tomar la medida de los 9 000 puntos restantes. Sé que no van a estar distribuidos según una normal, esto ya lo "estropeé" yo a mano antes. Sin embargo la parte "de arriba" de la normal (lo que no toqué en el proceso anterior) debería seguir siendo un "trozo de normal". En este caso, ¿cómo podría modelar dónde caerían las medidas actuales en una normal si no hubiera quitado los puntos que ya no tengo?
Muchas gracias por la ayuda, por adelantado. Seguro que es algo bien estudiado pero a estas horas y tras una larga conversación no soy capaz de encontrar el planteamiento.
Edito: evidentemente dependiendo del caso la distribución de los puntos que "elimino" puede variar. Puedo necesitar eliminar el 40 % de los puntos que están por encima de la media, por ejemplo.
Saludos cordiales.

¡Hola! Nos encantaría ayudarte, pero no solemos responder dudas universitarias que no tengan que ver específicamente con los vídeos que David Calle ha grabado como excepción. O de otras asignaturas que no sean Matemáticas, Física y Química. Lo sentimos de corazón… Esperamos que lo entiendas.
Ojalá algún unicoo universitario se anime a ayudarte (de hecho, lo ideal es que todos los universitarios intentarais ayudaros los unos a los otros).
Buenos días.
Disculpa, no entiendo a qué viene la respuesta. Hace muchos años que no paso por una Universidad. Mi pregunta no tiene nada que ver con ningún ejercicio universitario, no está relacionada con ninguna universidad y no surgió del mundo matemático, sino de un caso de medidas "mundo real" que surgió por un problema del trabajo que estaba discutiendo con un compañero.
De todas formas entiendo que este tipo de preguntas van contra las normas del sitio, ¿no?
Saludos!
Por aclarar el asunto.
Se trata de medidas reales de ciertos sensores. La magnitud que miden va creciendo en el tiempo pero dependiendo del lugar donde miden unos crecen más rápidamente y otros más lentamente. Los sensores se dejan 1 año funcionando (todos ellos) y se observa que las medidas obtenidas de distribuyen, a grandes rasgos, con una forma similar a una normal.
Tras un año tomamos una parte de los que han informado de valores más bajos (por tanto puntos menos interesantes), los reseteamos y los reutilizamos en otros lugares. No mezclamos las medidas, pasan a formar parte de otro subsistema.
Cuando pasa otro año recogemos de nuevo datos de los que quedaron. Claramente ya no puede ser una normal, porque hemos sesgado un trozo muy concreto de la normal. Digamos que si no miráramos al 20% más bajo de la normal, el resto sí sigue una normal, pues no los hemos tocado. Pero la parte baja no lo es. Lo que queremos es estimar "por separado" ambas partes sabiendo de antemano lo que hemos hecho. Cuál sería la media, desviación típica, 20% superior, etc de la parte que no hemos tocado y cuál sería de la "cola mermada" que hemos dejado.
Es algo que ahora mismo estamos haciendo, numéricamente los separamos y listo, pero me gustaría saber si es algo que podamos formalizar y programar, si es algo que ya está estudiado y hecho por muchos antes que nosotros :-)
Gracias de nuevo.
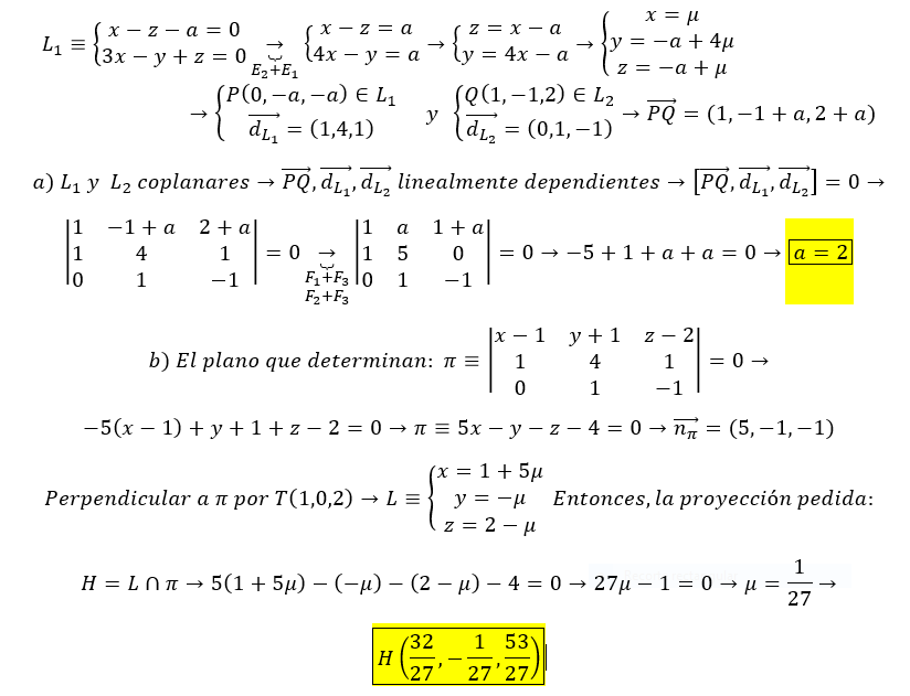
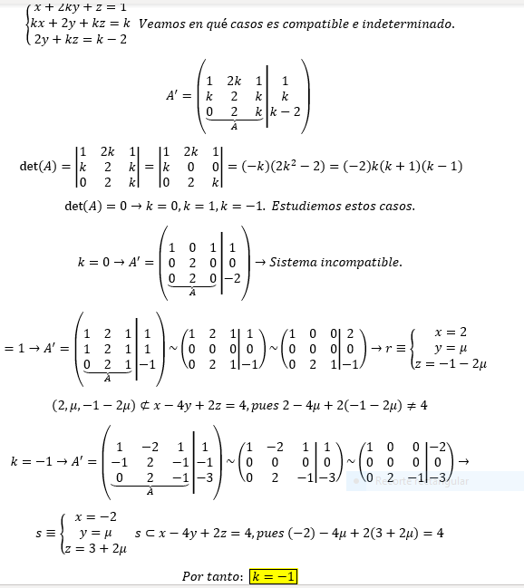
Hola gente, ayudan con este ejercicio? Veo que con K=-1 me da una recta perteneciente al plano, ya que el vector normal del plano y el director de la recta son perpendiculares y eligiendo un punto de la recta, pertenece al plano.
Pero como seria para el caso que sea SCD?

Si haces el sistema de ecuaciones te va a quedar:
Y viendo esto, para que tenga infinitas soluciones debe darte un SCI, es decir cuando el rango es menor que la cantidad de incognitas, como las incognitas son 3, debe darte al menos rango 2. Para esto vemos cuando la ultima fila se hace 0, y es cuando a=-1 y b=0 simultaneamente. Y si vas a la 2da fila a=1 y b=-4.
Entonces para que tenga infinitas soluciones deberia ser a=-1 y b= 0 o bien a=1 y b=-4

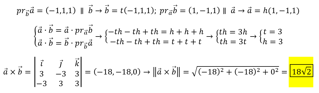
Tienes un sistema de tres ecuaciones lineales, de primer grado y con tres incógnitas, cuyo determinante queda expresado:
D =
a 1 1
1 1 1
1 -a 1;
luego, resuelves el determinante (por ejemplo desarrollándolo por su primera fila), cancelas términos opuestos, y queda:
D = a2 - 1.
Luego, planteas la condición de sistema compatible indeterminado o de sistema incompatible, y queda:
D = 0,
sustituyes la expresión del determinante, y queda
a2 - 1 = 0,
sumas 1 en ambos miembros, y queda:
a2 = 1,
extraes raíz cuadrada en ambos miembros, y tienes dos soluciones:
a1 = -1 y a2 = 1.
Luego, tienes dos opciones, que conducen cada una a un sistema de ecuaciones que resolveremos por medio del Método de Gauss:
1)
Reemplazas el valor a1 = -1, y la matriz ampliada del sistema queda:
-1 1 1 4
1 1 1 -b
1 1 1 b;
a la tercera fila le restas la segunda fila, y queda:
-1 1 1 4
1 1 1 -b
0 0 0 2b;
y observa que para que el sistema sea compatible indeterminado y admita infinitas soluciones debe cumplirse la condición:
2b = 0, aquí divides por 2 en ambos miembros, y queda: b = 0;
por lo que puedes afirmar que el sistema es compatible indeterminado para a1 = -1 y b1 = 0;
luego, reemplazas en la matriz ampliada del sistema, resuelves la tercera columna, y queda:
-1 1 1 4
1 1 1 0
0 0 0 0;
permutas la primera fila con la segunda, cancelas la fila nula, y queda:
1 1 1 0
-1 1 1 4,
a la segunda fila le sumas la primera, y queda:
1 1 1 0
0 2 2 4,
a la segunda fila la divides por 2, y queda:
1 1 1 0
0 1 1 2,
a la primera fila le restas la segunda, y queda:
1 0 0 -2
0 1 1 2;
luego, planteas el sistema de ecuaciones equivalente, cancelas términos nulos en las ecuaciones, y queda:
x = -2,
y + z = 2, aquí restas z en ambos miembros, y queda: y = 2 - z;
por lo que tienes que las infinitas soluciones del sistema quedan expresadas:
x = -2,
y = 2 - z,
z ∈ R.
2)
Reemplazas el valor a2 = 1, y la matriz ampliada del sistema queda:
1 1 1 4
1 1 1 -b
1 -1 1 b;
a la segunda fila le restas la primera fila, y queda:
1 1 1 4
0 0 0 -b-4
1 -1 1 b;
y observa que para que el sistema sea compatible indeterminado y admita infinitas soluciones debe cumplirse la condición:
-b-4 = 0, aquí sumas 4 en ambos miembros, y queda:
-b = 4, aquí multiplicas por -1 en ambos miembros, y queda:
b = -4;
por lo que puedes afirmar que el sistema es compatible indeterminado para a2 = 1 y b2 = -4;
luego, reemplazas en la matriz ampliada del sistema, resuelves la tercera columna, y queda:
1 1 1 4
0 0 0 0
1 -1 1 -4;
cancelas la fila nula, y queda:
1 1 1 4
1 -1 1 -4;
a la segunda fila le restas la primera, y queda:
1 1 1 4
0 -2 0 -8;
a la segunda fila la divides por -2, y queda:
1 1 1 4
0 1 0 4;
a la primera fila le restas la segunda, y queda:
1 0 1 0
0 1 0 4;
luego, planteas el sistema de ecuaciones equivalente, cancelas términos nulos en las ecuaciones, y queda:
x + z = 0, aquí restas z en ambos miembros, y queda: x = -z,
y = 4;
por lo que tienes que las infinitas soluciones del sistema quedan expresadas:
x = -z,
y = 4,
z ∈ R.
Espero haberte ayudado.