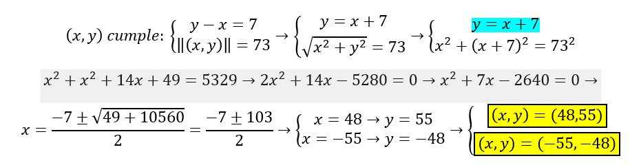
Hola!! Necesito ayuda con este problema.
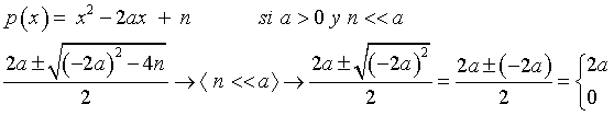
Discutir las raíces del polinomio p(x)= x2-2ax + n si a>0 y n<<a
Muchas gracias.

b)
Tienes la ecuación polinómica cuadrática:
x2 - 40x + 1 = 0, restas 1 en ambos miembros, y queda:
x2 - 40x = -1, sumas 400 en ambos miembros, y queda:
x2 - 40x + 400 = 399, factorizas el trinomio cuadrado perfecto en el primer miembro, y queda:
(x - 20)2 = 399, extraes raíz cuadrada en ambos miembros, y tienes dos opciones:
1°)
x - 20 = -√(399), aquí sumas 20 en ambos miembros, y queda:
x1 = 20 - √(399);
2°)
x - 20 = +√(399), aquí sumas 20 en ambos miembros, y queda:
x2 = 20 + √(399).
Luego, puedes plantear la multiplicación de las dos raíces, y queda:
x1*x2 = ( 20 + √(399) )*( 20 + √(399) ),
distribuyes el segundo miembro, y queda:
x1*x2 = 400 + 20*√(399) - 20*√(399) + ( √(399) )2,
cancelas términos opuestos, simplificas en el último término, y queda:
x1*x2 = 400 - 399,
resuelves el segundo miembro, y queda:
x1*x2 = 1,
aquí divides por x2 en ambos miembros, y queda:
x1 = 1/x2,
sustituyes la expresión exacta de la segunda raíz en el denominador del segundo miembro, y queda:
x1 = 1 / ( 20 + √(399) ),
aplicas la propiedad de las potencias con exponentes negativos en el segundo miembro, y queda:
x1 = ( 20 + √(399) )-1.
Luego, solo queda que reemplaces el valor aproximado de √(399) que tienes en tu enunciado y termines la tarea.
Espero haberte ayudado.

Observa que teníamos la ecuación:
x2 - 40x = -1 (observa que el término principal tiene coeficiente 1),
expresas al coeficiente del término lineal como el doble de un número, y queda:
x2 - 2*20x = -1,
luego, sumas en ambos miembros el doble del factor remarcado en el término lineal: 202 = 400, y queda:
x2 - 2*20x + 400 = 400 - 1,
y continúa el desarrollo.
Espero haberte ayudado.
Hola, alguien me podría explicar cuando una ecuación diferencial es autónoma y cuando no? Gracias

¡Hola! Nos encantaría ayudarte, pero no solemos responder dudas universitarias que no tengan que ver específicamente con los vídeos que David Calle ha grabado como excepción. O de otras asignaturas que no sean Matemáticas, Física y Química. Lo sentimos de corazón… Esperamos que lo entiendas.
Ojalá algún unicoo universitario se anime a ayudarte (de hecho, lo ideal es que todos los universitarios intentarais ayudaros los unos a los otros).
Hola alguien me podría decir cual es la función, su primera derivada y su segunda derivada? (Hay una que sobra). Yocreo que la función es la gris, la primera derivada la azul a rayas y la 2 derivada la verde, pero no estoy segura. (Si me explican el procedimiento que usaron para averiguarlo me haría de ayuda) muchas gracias ![]()
Hola buenas tardes Unicoos. Necesito ayuda con el ejercicio 2 de este enunciado. En el primero ya he calculado los valores propios y la solución es -2,-2,-19. ¿Me podéis indicarme cómo se resuelve el ejercicio 2? Sería de agrado si pudiesen indicarlo por pasos. Muchísimas gracias!
Calcular cuántos números de 7 cifras se pueden formar con loas cifras 0 1 2 2 3 3 3.
Me podéis ayudar a calcularlo? Gracias!!

Observa que tienes una población de siete elementos, con cuatro clases:
el 0, con un elemento,
el 1, con un elemento,
el 2, con dos elementos,
el 3, con tres elementos.
Luego, observa que debes permutar siente elementos, con cuatro clases de elementos idénticos entre sí, por lo que planteas:
P( 7 ; 1,1,2,3 ) = 7! / (1!*1!2!*3!) = 5040/(1*1*2*6) = 5040/12 = 420 números posibles.
Espero haberte ayudado.