
Tienes la expresión de la cantidad de artículos producidos por hora en función de la cantidad de trabajadores:
P(x) = 38x - x2 - 36 (1),
cuyo dominio es el conjunto de los números naturales no nulos.
Luego, tienes la cantidad de artículos a producir en este único pedido: 72000.
Tienes planteada la expresión de la cantidad de horas de trabajo necesarias: H(x).
(a)
Tienes el monto de costo fijo: F = 5000 euros (2).
(b)
Tienes el gasto promedio de materia prima por artículo: 1 euro, por lo que el gasto para todo el periodo queda:
M = 1*72000 = 72000 euros (3).
(c)
Tienes el salario por hora de cada trabajador: 10 euros, por lo que el gasto total en salarios queda:
S(x) = 10x*H(x) (4).
(i)
Puedes plantear para la cantidad de artículos que se deben producir:
P(x)*H(x) = 72000,
divides por P(x) en ambos miembros, y queda:
H(x) = 72000/P(x),
sustituyes la expresión señalada (1), y queda:
H(x) = 72000/(38x - x2 - 36) (5).
(ii)
Puedes plantear que el costo de producción del pedido es la suma de los gastos, y queda:
C(x) = F + M + S(x),
sustituyes expresiones señaladas (2) (3) (4), y queda:
C(x) = 5000 + 72000 + 10x*H(x),
reduces términos numéricos, sustituyes la expresión señalada (5) y resuelves el último término, y queda:
C(x) = 77000 + 720000x/(38x - x2 - 36) (6).
(iii)
Derivas la expresión remarcada y señalada (6), y queda:
C ' (x) = ( 720000*(38x - x2 - 36) - 720000x*(38 - 2x) )/(38x - x2 - 36)2 (7),
planteas la condición de punto estacionario (posible máximo o posible mínimo, y queda:
C ' (x) = 0,
sustituyes la expresión señalada (7), y queda:
( 720000*(38x - x2 - 36) - 720000x*(38 - 2x) )/(38x - x2 - 36)2 = 0,
multiplicas en ambos miembros por (38x - x2 - 36)2, y queda:
720000*(38x - x2 - 36) - 720000x*(38 - 2x) = 0,
divides por 720000 en todos los términos de la ecuación, y queda:
38x - x2 - 36 - x*(38 - 2x) = 0,
distribuyes el agrupamiento, y queda:
38x - x2 - 36 - 38x + 2x2 = 0,
reduces términos semejantes (observa que tienes cancelaciones), ordenas términos, y queda:
x2 - 36 = 0,
sumas 36 en ambos miembros de la ecuación, y queda
x2 = 36,
extraes raíz cuadrada en ambos miembros (observa que elegimos la raíz positiva), y queda:
x = 6 trabajadores;
luego, reemplazas este último valor remarcado en las expresiones señalada (6) (5), y queda:
C(6) = 77000 + 720000*6/(38*6 - 62 - 36),
resuelves, y queda:
C(6) ≅ 104692,31 euros,
que es el valor del costo mínimo de producción;
H(6) = 72000/(38*6 - 62 - 36),
resuelves, y queda:
H(6) ≅ 461,54 horas.
(iv)
Derivas la expresión remarcada y señalada (5), y queda:
H ' (x) = -72000*(38 - 2x)/(38x - x2 - 36)2 (8),
planteas la condición de punto estacionario (posible máximo o posible mínimo, y queda:
H ' (x) = 0,
sustituyes la expresión señalada (8), y queda:
-72000*(38 - 2x)/(38x - x2 - 36)2 = 0,
multiplicas en ambos miembros por (38x - x2 - 36)2, y queda:
-72000*(38 - 2x) = 0,
divides por -72000 en todos los términos de la ecuación, y queda:
38 - 2x = 0,
restas 38 en ambos miembros de la ecuación, y queda
-2x = -38,
divides por -2 en ambos miembros, y queda:
x = 19 trabajadores;
luego, reemplazas este último valor remarcado en las expresiones señalada (6) (5), y queda:
C(19) = 77000 + 720000*19/(38*19 - 192 - 36),
resuelves, y queda:
C(19) ≅ 119092,31 euros,
que es el valor del costo de producción con el tiempo mínimo;
H(19) = 72000/(38*19 - 192 - 36),
resuelves, y queda:
H(19) ≅ 221,54 horas,
que es el valor del tiempo mínimo de producción.
Espero haberte ayudado.
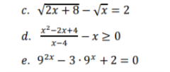
¿Cómo se resuelve?
x2 -2x+4/x-4 -x ≥ 0

c)
Tienes la ecuación:
√(2x+8) - √(x) = 2, sumas √(x) en ambos miembros, y queda:
√(2x+8) = √(x) + 2, elevas al cuadrado en ambos miembros, y queda:
( √(2x+8) )2 = ( √(x) + 2 )2, simplificas el primer miembro, desarrollas el segundo miembro, y queda:
2x + 8 = x + 4√(x) + 4, restas x y restas 4 en ambos miembros, y queda:
x + 4 = 4√(x), elevas al cuadrado en ambos miembros, y queda:
( x + 4 )2 = ( 4√(x) )2, desarrollas el primer miembro, resuelves el segundo miembro, y queda:
x2 + 8x + 16 = 16x, restas 16x en ambos miembros, y queda:
x2 - 8x + 16 = 0, factorizas el trinomio cuadrado perfecto en el primer miembro, y queda:
(x - 4)2 = 0, extraes raíz cuadrada en ambos miembros, y queda:
x - 4 = 0, sumas 4 en ambos miembros, y queda:
x = 4,
y puedes verificar que la solución remarcada es válida si reemplazas y resuelves en la ecuación de tu enunciado.
Espero haberte ayudado.

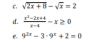
e)
Tienes la ecuación:
92x -3*9x + 2 = 0;
luego, puedes plantear la sustitución (cambio de incógnita):
9x = w (1) (observa que w toma valores positivos),
de donde tienes:
92x = (9x)2 = 92x = w2;
luego, sustituyes las expresiones remarcadas en la ecuación, y queda:
w2 - 3*w + 2 = 0,
que es una ecuación polinómica cuadrática, cuyas solucione son:
1)
w = 1, que al reemplazar en la ecuación señalada (1), queda:
9x = 1, expresas el segundo miembro como una potencia con base 9, y queda:
9x = 90, por igualdad entre potencias con bases iguales, queda:
x = 0;
2)
w = 2, que al reemplazar en la ecuación señalada (1), queda:
9x = 2, extraes logaritmos (elegimos los logaritmos naturales) en ambos miembros, y queda:
ln(9x) = ln(2), aplicas la propiedad del logaritmo de una potencia, y queda:
x*ln(9) = ln(2), divides por ln(9) en ambos miembros, y queda:
x = ln(2)/ln(9).
Espero haberte ayudado.

d)
Tienes la inecuación:
(x2 - 2x + 4)/(x - 4) - x ≥ 0, sumas x en ambos miembros, y queda:
(x2 - 2x + 4)/(x - 4) ≥ x;
luego, tienes dos opciones, según sea el signo de la expresión del denominador del primer miembro:
1)
Si x - 4 > 0, que corresponde a: x > 4 (1),
entonces multiplicas por (x - 4) en ambos miembros (observa que no cambia la desigualdad), y queda:
x2 - 2x + 4 ≥ x*(x - 4), distribuyes el segundo miembro, y queda:
x2 - 2x + 4 ≥ x2 - 4x, restas x2, sumas 4x y restas 4 en ambos miembros (observa que tienes cancelaciones), y queda:
2x ≥ -4, divides por 2 en ambos miembros, y queda:
x ≥ -2 (2);
luego, teniendo en cuenta las condiciones expresadas en las inecuaciones señaladas (1) (2) (que deben verificarse en forma simultánea), tienes que para esta opción queda el subintervalo:
I1 = (4,+∞);
2)
Si x - 4 < 0, que corresponde a: x < 4 (3),
entonces multiplicas por (x - 4) en ambos miembros (observa que sí cambia la desigualdad), y queda:
x2 - 2x + 4 ≤ x*(x - 4), distribuyes el segundo miembro, y queda:
x2 - 2x + 4 ≤ x2 - 4x, restas x2, sumas 4x y restas 4 en ambos miembros (observa que tienes cancelaciones), y queda:
2x ≤ -4, divides por 2 en ambos miembros, y queda:
x ≤ -2 (4);
luego, teniendo en cuenta las condiciones expresadas en las inecuaciones señaladas (3) (4) (que deben verificarse en forma simultánea), tienes que para esta opción queda el subintervalo:
I2 = (-∞,-2].
Luego, planteas que el intervalo solución es la unión de los dos subintervalos remarcados, y queda:
S = (-∞,-2] ∪ (4,+∞).
Espero haberte ayudado.

a)
Observa que se cumplen las hipótesis de Teorema Fundamental del Cálculo Integral, por lo que aplicas el teorema, y la expresión de la función derivada queda:
F ' (x) = f(x) + x2 + x3.
b)
Luego, tienes en tu enunciado que la abscisa del punto en estudio es:
x0 = 1;
luego, evalúas la expresión de la función F para este valor, y queda:
F(1) = 0∫1 ( f(t) + t2 + t3 )*dt,
separas en términos, y queda:
F(1) = 0∫1 f(t)*dt + 0∫1 t2*dt + 0∫1 t3*dt,
reemplazas el valor del primer término que tienes en tu enunciado, integras los dos últimos términos (observa que indicamos con corchetes de debes evaluar con Regla de Barrow), y queda:
F(1) = 1 + [t3/3] + [t4/4],
evalúas los dos últimos términos, y queda:
F(1) = 1 + 1/3 + 1/4,
resuelves, y queda:
F(1) = 19/12.
Luego, evalúas la expresión de la función derivada señalada (1) para la abscisa del punto en estudio, y queda:
F ' (1) = f(1) + 12 + 13,
reemplazas el valor del primer término que tienes en tu enunciado, resuelves los demás términos, y queda:
F ' (1) = 1 + 1 + 1,
resuelves, y queda:
F ' (1) = 3.
Luego, planteas la ecuación de la recta tangente en forma genérica, y queda:
y = F ' (x0) * (x - x0) + F(x0),
reemplazas el valor de la abscisa del punto en estudio, y queda:
y = F ' (1) * (x - 1) + F(1),
reemplazas los valores de la función derivada evaluada y del la función evaluada, y queda:
y = 3*(x - 1) + 19/12;
distribuyes el primer término, y queda:
y = 3*x - 3 + 19/12,
reduces términos numéricos, y queda:
y = 3*x - 17/12,
que es la ecuación de la recta tangente a la gráfica de la función F que piden en tu enunciado.
Espero haberte ayudado.
hola, gracias a ti apruebo, tus videos me ayudan un montón, muchas gracias!
¿podrías
resolver este ejercicio? es sobre continuidad, pero al ser la función a
trozos y encima racional, no sé qué puntos tengo que analizar![]()
b) La función es continua en todo su dominio.
Donde podría tener problemas es en el 15 y en el 11:
En t=15 es continua pues existe la imagen y coincide con los límites laterales
En t=11 no se anula el denominador.
c) Durante lo 10 primeros meses el precio aumenta para luego disminuir.
El precio máximo se alcanza a los 10 meses con un importe de 100€ y el mínimo el día de su lanzamiento con 80€
d) Nunca bajará de 87€
Hola, he resuelto algunos problemas pero este problema se me resiste:
Finn deja caer una pelota desde una altura de

Puedes considerar la caída inicial, por lo que al tocar el suelo la primera vez ha recorrido:
d0 = 88 (en dm).
Luego, observa que de ahora en más la pelota "sube y vuelve a bajar" antes de volver a tocar el suelo.
Luego, sube hasta 2/3 partes de altura anterior ( h = (2/3)*88 = (2/3)1*88 ) y luego vuelve a bajar, por lo que al tocar el suelo nuevamente ha agregado el recorrido:
d1 = 2*(2/3)1*88 (en dm).
Luego, sube hasta 2/3 partes de altura anterior ( h = (2/3)*(2/3)1*88 = (2/3)2*88 ) y luego vuelve a bajar, por lo que al tocar el suelo nuevamente ha agregado el recorrido:
d2 = 2*(2/3)2*88 (en dm).
Luego, sube hasta 2/3 partes de altura anterior ( h = (2/3)*(2/3)2*88 = (2/3)3*88 ) y luego vuelve a bajar, por lo que al tocar el suelo nuevamente ha agregado el recorrido:
d3 = 2*(2/3)3*88 (en dm).
Luego, sube hasta 2/3 partes de altura anterior ( h = (2/3)*(2/3)3*88 = (2/3)4*88 ) y luego vuelve a bajar, por lo que al tocar el suelo nuevamente ha agregado el recorrido:
d4 = 2*(2/3)4*88 (en dm).
Luego, puedes inferir que el recorrido agregado nuevamente en la "subida y bajada" número k es:
dk = 2*(2/3)k*88 (en dm),
y observa que la expresión remarcada es válida desde el agregado de recorrido número 1 en adelante.
Luego, puedes plantear la expresión del recorrido total, con n "subidas y bajadas":
d = d0 + d1 + d2 + d3 + d4 + .... + dn (observa que tienes n+1 términos, y que la pelota ha tocado el suelo n+1 veces),
sustituyes expresiones, y queda:
d = 88 + 2*(2/3)1*88 + 2*(2/3)2*88 + 2*(2/3)3*88 + 2*(2/3)4*88 + ... + 2*(2/3)n*88,
extraes factores comunes entre todos los términos remarcados, y queda:
d = 88 + 2*(2/3)1*88*( 1 + (2/3)1 + (2/3)2 + (2/3)3 + ... + (2/3)n-1 ),
luego, observa que los términos remarcados del agrupamiento conforman una progresión geométrica cuyo primer elemento es 1 y cuya razón es 2/3 (observa que su valor absoluto es estrictamente menor que 1), por lo que sustituyes a todo el agrupamiento por la expresión de la suma geométrica, y queda:
d = 88 + 2*(2/3)1*88*( ( 1-(2/3)n ) / (1-2/3) ),
resuelves el coeficiente en el último factor, y queda:
d = 88 + 2*(2/3)1*88*( ( 1-(2/3)n ) * 3,
extraes factor común (88), y queda:
d = 88*( 1 + 2*(2/3)1*( ( 1-(2/3)n ) * 3 ),
resuelves el coeficiente en el segundo término del agrupamiento, y queda:
d = 88*( 1 + 4*( 1 - (2/3)n ) (en dm),
y recuerda que la expresión remarcada es válida a partir de n = 1.
Espero haberte ayudado.
Tengo una duda en las integrales con cambio de variable. ¿Cuándo se utiliza un cambio de variable por sen(t) en vez de cambiar todo por t directamente?