Hola tengo un ejercicio que me gustaria saber como se resuelve. Dice asi: El banco te da un prestamo hipotecario de 200,000 euros el cual se paga a 30 años con un interes del 6% anual. La pregunta es, cuanto debo pagar al mes para pagar esos 200,000 euros mas cualquier interes que se haya acumulado?
Hola unicoos, me podrían ayudar con 1 ejercicio del 12 y 1 del 13, no entiendo como tengo que hallar la solución. Gracias

¡Hola! Nos encantaría ayudarte, pero no solemos responder dudas universitarias que no tengan que ver específicamente con los vídeos que David Calle ha grabado como excepción. O de otras asignaturas que no sean Matemáticas, Física y Química. Lo sentimos de corazón… Esperamos que lo entiendas.
Ojalá algún unicoo universitario se anime a ayudarte (de hecho, lo ideal es que todos los universitarios intentarais ayudaros los unos a los otros).
¿Por qué esta función es par?
Entiendo la teoría, que si f(x)=-f(x) -> par, pero como la aplicaría a esta función?, en teoría sé que también es una función periódica.

Mil gracias de nuevo, y por si alguien más lo necesita dejo el vídeo el cual acabo de encontrar.
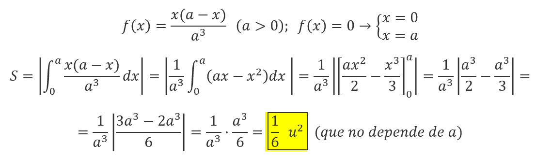
Hola, he intentado hacer estos ejercicios y no pillo por dónde van el c, el g, el h y el i. Por fa ayuda que ya estoy en la recuperación, gracias. (si hay algún video que lo explique me vendría bien)

Emplear un cambio de variable es una forma de hacer el ejercicio, pero no es la única.
Tienes la integral:
I = ∫ (x/2x)*dx = ∫ x*2-x*dx;
aquí planteas el Método de Integración por Partes, y queda:
f(x) = x, de donde tienes: f ' (x) = 1,
g ' (x) = 2-x, de donde tienes: g(x) = 2-x/(-1*ln2) = -2-x/ln2;
luego, aplicas el método y la integral queda:
I = x*(-2-x/ln2) - ∫ (-2-x/ln2)*1*dx;
luego, resuelves el signo en el primer término, resuelves y extraes factores constantes en el segundo término, y queda:
I = -x*2-x/ln2 + (1/ln2) * ∫ 2-x*dx;
luego, resuelves la integral en el segundo término (observa que ya la tienes resuelta en el planteo de la integración por partes del paso anterior), y queda:
I = -x*2-x/ln2 + (1/ln2) * (-2-x/ln2) + C;
luego, resuelves signos y factores numéricos en el segundo término, y queda:
I = -x*2-x/ln2 - (1/(ln2)2)*2-x + C.
Espero haberte ayudado.