Foro de preguntas y respuestas de Matemáticas

logo beUnicoos
Los foros de unicoos se han unificado en nuestra nueva plataforma beUnicoos. Para dejar nuevas preguntas deberás hacerlo allí, donde además podrás encontrar nuevas asignaturas y herramientas para ayudarte más con tus estudios.

  • icon

    Lau
    el 15/12/18

    Indica razonadamente a cuál de las funciones indicadas corresponde la siguiente gráfica:


    Me podrían ayudar con este ejercicio, gracias de antemano. 

    replythumb_up0 voto/sflag
    icon

    César
    el 15/12/18

    La a) es la única que tiene asíntota vertical en x=-1


    thumb_up0 voto/sflag
  • icon

    Quiroga
    el 15/12/18

    Hola!, es posible que esta función no tenga solución para a y b?. 

    Por cierto hay alguna diferencia en cuanto si me piden continuidad en a y b o derivabilidad en a y b?


    replythumb_up0 voto/sflag
    icon

    César
    el 15/12/18

    Si la hay, date cueta que existen funciones continuas pero no derivables (y=|x|)


    thumb_up1 voto/sflag
    icon

    Quiroga
    el 15/12/18

    Cierto, muchas gracias como siempre!

    thumb_up0 voto/sflag
  • icon

    ISABELBUSTILLO
    el 15/12/18

    No sé como plantear este problema.

    Una familia se gasta 60€ en el mercado. En carne y pescado se han gastado dos terceras partes de ese dinero, ¿Cuánto se han gastado en carne y pescado? ¿Cuánto dinero les queda?

    replythumb_up1 voto/sflag
    icon

    Mandela
    el 15/12/18

    Muy fácil. Puedes expresarlo así: Una familia se ha gastado 60€ en el mercado. En carne y pescado se han gastado 2/3 (dos tercios) de ese dinero. ¿Cuánto se han gastado en carne y pescado? 2/3 (40€). ¿Cuánto dinero les queda? 1/3 (20€).

    Espero que te halla servido :D

    thumb_up1 voto/sflag
  • icon

    Angel
    el 15/12/18

    Cómo se haría la suma de la serie desde n=0 hasta infinito de ((-1)^n)/4^n?? Gracias.

    replythumb_up0 voto/sflag
    icon

    Antonius Benedictus
    el 15/12/18


    thumb_up0 voto/sflag
  • Usuario eliminado
    el 15/12/18

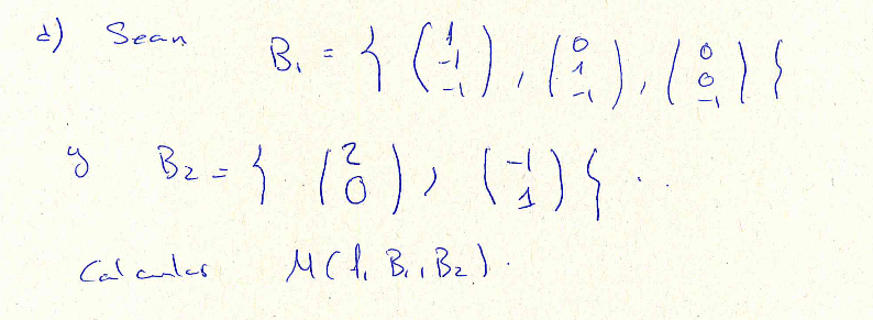
    Enunciado original. Apartado D)

    replythumb_up0 voto/sflag
    icon

    Antonius Benedictus
    el 15/12/18

    Haz tu los cálculos matriciales : https://matrixcalc.org/es/



    thumb_up0 voto/sflag
  • icon

    Kevin
    el 15/12/18

    hola buenas como se hace el limite la serie an = n√n.

    gracias de antemano

    replythumb_up0 voto/sflag
    icon

    Antonius Benedictus
    el 15/12/18


    thumb_up0 voto/sflag
    icon

    Kevin
    el 15/12/18

    hola de nuevo, y aplicando el criterio de stolz como seria? o con el criterio del cociente raiz? gracias por la ayuda


    thumb_up0 voto/sflag
    icon

    Antonius Benedictus
    el 15/12/18

    Te he puesto el límite de la sucesión. Como no es un infinitésimo, la serie correspondiente diverge a "más infinito".

    thumb_up0 voto/sflag
  • Usuario eliminado
    el 15/12/18

    Buenas, no soy capaz de calcular el cambio cuando son de distinta dimensión. Gracias



    replythumb_up0 voto/sflag
    icon

    Antonius Benedictus
    el 15/12/18

    Pon foto del enunciado original, por favor.

    thumb_up0 voto/sflag

    Usuario eliminado
    el 15/12/18

    thumb_up0 voto/s

    flag
  • Usuario eliminado
    el 15/12/18

    Buenas lo he hecho pero no se si esta bien, me podrían ayudar para fijarme


    replythumb_up0 voto/sflag
    icon

    César
    el 15/12/18


    thumb_up1 voto/sflag
    icon

    Antonius Benedictus
    el 15/12/18


    thumb_up1 voto/sflag
  • icon

    Jhonaiker Blanco
    el 15/12/18

    Buenas noches, podrían ayudarme con este ejercicio de optimización? Hallar las dimensiones del cono recto circular de máximo volumen que puede ser inscrito en una esfera de radio "a"

    replythumb_up0 voto/sflag
    icon

    Antonio
    el 15/12/18


    thumb_up0 voto/sflag
    icon

    César
    el 15/12/18


    thumb_up0 voto/sflag
    icon

    Antonius Benedictus
    el 15/12/18

    icon

    Jerónimo
    el 15/12/18


    thumb_up0 voto/sflag
  • icon

    Isaac Gonzalez
    el 14/12/18

    Hola profesor, este es un ejercicio que cayo en mi clase de matematicas en primero de bachillerato y nadie fue capaz de resolver correctamente, aqui esta: 

    replythumb_up0 voto/sflag
    icon

    Antonius Benedictus
    el 14/12/18


    thumb_up0 voto/sflag