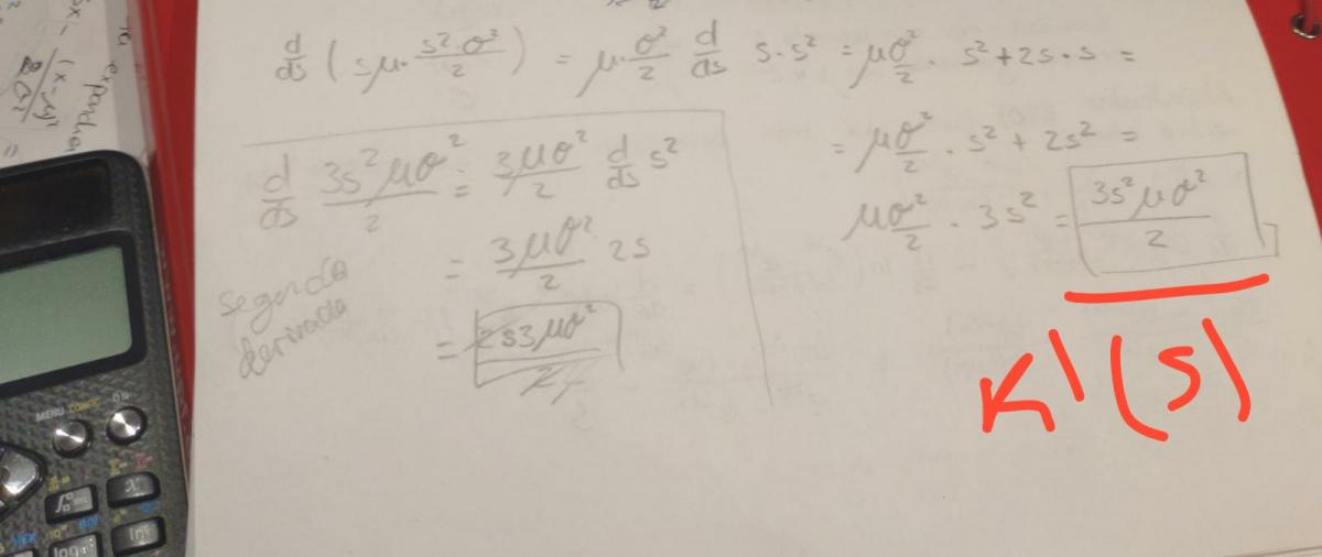
hola buenas, tengo una gran duda, el ej me pide su derivada y esto lo entiendo y la he hecho, pero no sé muy bien que tendría que argumentar. Como ejemplo pondré la densidad gaussiana.
enunciado de la función k(s):
A partir de aquí interpreto: k(s)=log( e^ (sμ+(s^2*σ^2)/2) ) => k(s)=(sμ+(s^2*σ^2)/2)
Si la evalúo en 0 la función daría 0.
