Estoy con operaciones combinadas de números enteros.
Me pueden ayudar con este problema. Gracias.
Un carnicero compra una cámara frigorífica que es capaz de reducir la temperatura en 6º cada hora. Al conectarla, marca una temperatura inicial de 2ºC.
Si la temperatura mínima de la cámara frigorífica es de -42ºC, ¿cuánto tiempo tardará en alcanzarla?

Puedes construir una tabla de valores tiempo-Temperatura, para visualizar mejor la situación (observa que el tiempo está expresado en horas, y la temperatura en grados celsius):
t T
0 2 (la cámara está recién conectada, y comienza a funcionar su cronómetro),
1 -4 (ha transcurrido una hora, y la temperatura es: 2 - 6*1),
2 -10 (han transcurrido dos horas, y la temperatura es: 2 - 6*2),
3 -16 (han transcurrido tres horas, y la temperatura es: 2 - 6*3),
luego, puedes inferir que para un instante genérico (t) la temperatura (T), queda expresada:
t T, y como han transcurrido t horas, tienes que la expresión de la temperatura es: T = 2 - 6*t (1).
Luego, reemplazas el valor de la temperatura mínima: T = -42 °C en la ecuación señalada (1), y queda:
-42 = 2 - 6*t, sumas 6*t y sumas 42 en ambos miembros, y queda:
6*t = 44, divides por 6 en ambos miembros, y queda:
t = 22/3 h = 7 h + 1/3 h = 7 h + (1/3)*60 = 7h 20 min.
Espero haberte ayudado.
Todo va bien y de repente se me la olla y me quedo con cara de tonto. Asi que les pido por favor que me iluminen. ![]()

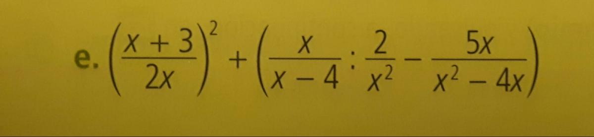
Vamos con el primer término:
( (x+3)/(2x) )2 = (x+3)2/(2x)2 = (x2+6x+9)/(4x2) (1).
Vamos con el primer término del agrupamiento:
(x/(x-4)) / (2/x2) = x/(x-4) * x2/2 = x3 / (2(x-4)) (2).
Vamos con el segundo término del agrupamiento:
5x / (x2-4x) = 5x / (x(x-4)) = simplificas = 5/(x-4) (3).
Luego, vamos con el argumento del agrupamiento:
x/(x-4) / (2/x2) - 5x / (x2-4x) = sustituyes las expresiones señaladas (2) (3):
= x3 / (2(x-4)) - 5/(x-4) = extraes mínimo común denominador
= (x3 - 10) / (2(x-4)) (4).
Luego, planteas la suma entre la expresión del primer término señaladas (1) y la expresión del agrupamiento señalada (4), y la expresión de tu enunciado (A) queda:
A = (x2+6x+9)/(4x2) + (x3 - 10) / (2(x-4)) = extraes mínimo común denominador, y queda:
= ( (x2+6x+9)*(x-4) + (x3 - 10)*2x2 ) / (4x2*(x-4)) = desarrollas el numerador:
= ( x3-4x2+6x2-24x+9x-36 + 2x5-20x2 ) / (4x2*(x-4)) = reduces términos semejantes y ordenas términos en el numerador:
= (2x5 + x3 - 18x2 - 15x - 36) / (4x2*(x-4)).
Espero haberte ayudado.
no acabo de entender el valor absoluto de un número.
tengo que resolver esto:
/12 - 36/ - /36-12/ - 2 x /36 - (-12)/ =
Muchas gracias por tu respuesta, Antonio Silvio. Me ha servido de mucho. Ya empiezo a entender el mecanismo. Gracias otra vez.