hola, no entiendo porque la serie an = 1/(n+ln(n)) es divergente
gracias de antemano.

Observa que la sucesión tiene elementos positivos,
Luego, recuerda que el argumento es mayor que su logaritmo: n ≥ ln(n).
Luego, puedes plantear la comparación:
an = 1 / ( n+ln(n) ) ≥ 1 / (n+n) = 1 / (2*n) = (1/2)*(1/n) = bn;
y tienes que la sucesión cuyo elemento general es bn es divergente.
Espero haberte ayudado.
¿Lo qué he hecho hasta ahora está bien?, si es así como debería de continuar?
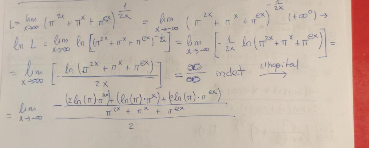
(supongo que tendré que dividir todo entre el que tenga el exponentes más grande, pero no se que hacer con ese 2 y tanto pi's de por medio).


Hola podrían ayudarme?
Sabiendo que senα=h y que 0∠α∠90¤
a)sen(180+α)
b) tag(2α)
Muchas gracias

Tienes el dato: senα = h (1),
luego planteas la expresión del coseno en función del seno, y queda:
cosα = √(1-sen2α), sustituyes la expresión del seno, y queda:
cosα = √(1-h2) (2), y observa que el elegimos la raíz positiva porque el ángulo pertenece al primer cuadrante.
a)
Aplicas la identidad trigonométrica del seno de la suma de dos ángulos, y queda:
sen(180°+α) = sen(180°)*cosα + cos(180°)*senα, resuelves valores numéricos, y queda:
sen(180°+α) = 0*cosα + (-1)*senα, cancelas el término nulo, resuelves coeficientes, y queda:
sen(180°+α) = -senα, sustituyes la expresión señalada (1), y queda:
sen(180°+α) = -h.
b)
Planteas la identidad trigonométrica del seno del doble de un ángulo, y queda:
sen(2α) = 2*senα*cosα, sustituyes las expresiones señaladas (1) (2), y queda:
sen(2α) = 2*h*√(1-h2) (3).
Planteas la identidad trigonométrica del coseno del doble de un ángulo, y queda:
cos(2α) = cos2α - sen2α, sustituyes las expresiones señaladas (2) (1), y queda:
cos(2α) = ( √(1-h2) )2 - h2, resuelves el primer término, y queda:
cos(2α) = 1 - h2 - h2, reduces términos semejantes, y queda:
cos(2α) = 1 - 2*h2 (4).
Planteas la identidad de la tangente del doble de un ángulo en función del seno y del coseno, y queda:
tan(2α) = sen(2α) / cos(2α), sustituyes las expresiones señaladas (3) (4), y queda:
tan(2α) = 2*h*√(1-h2) / (1 - 2*h2).
Espero haberte ayudado.
EL EXAMEN DE UNAS OPOSICIONES CONSTA DE 200 PREGUNTAS TIPO TEST, CON CUATRO RESPUESTA POSIBLES EN CADA UNA, DE LAS CUALES SOLO UNA ES CORRECTA. SI UN OPOSITOR RESPONDE AL AZAR, CALCULE QUÉ PROBABILIDAD TIENE DE:
a) Aprobar el examen si para ello debe acertar un mínimo de 120 preguntas
b) Contestar correctamente entre 40 y 70 preguntas
mme dan la siguiente respuesta, pero ¿no está terminado, cierto?
L distribución de la variable x = "nº de preguntas acertadas" es una B(200, 0,25) pues la probabilidad de acierto es p = 0,25, q = 0,75. Como n ·p y n ·q son mayores que 5, podemos aproximar la binomial por la normal de media μ= 200 ·0,25 = 50 y desviación típica =ƃ(200·0,25·0,75) = 6,12, esto es la N(50, 6,12).

Tienes la expresión de la función:
f(x) =
0 si x < 2
1/4 si 2 ≤ x ≤ 6
0 si x > 6,
y observa que la función es continua en tres trozos, que presenta dos saltos: uno en x = 2 y otro en x = 6, que su dominio es R, y que sus valores son 0 o 1/4, que es positivo.
a)
Planteas la integral:
-∞∫+∞ f(x)*dx = -∞∫2 0*dx + 2∫6 (1/4)*dx + 6∫+∞ 0*dx = 0 + (1/4)*(6-2) + 0 = 1,
por lo que tienes que la función es una función de densidad de probabilidad de una variable aleatoria X.
b)
Planteas la expresión de la función de distribución de probabilidad, y queda:
F(x) = -∞∫x f(x)*dx;
luego, planteas las expresiones para cada trozo, y queda:
F(x) = -∞∫x 0*dx = 0 (1), para el primer trozo;
F(x) = -∞∫2 0*dx + 2∫x (1/4)*dx = 0 + (1/4)*(x-2) = (1/4)*x - 1/2 (2), para el segundo trozo;
F(x) = -∞∫2 0*dx + 2∫6 (1/4)*dx + 6∫x 0*dx = 0 + (1/4)*(6-2) + 0 = 1 (3), para el tercer trozo;
luego, con las expresiones señaladas (1) (2) (3), tienes que la expresión de la función de distribución de probabilidad queda:
F(x) =
0 si x < 2,
(1/4)*x - 1/2 si 2 ≤ x ≤ 6,
1 si x > 6.
c)
Aplicas la expresión de la función de distribución (presta atención al trozo correspondiente en cada caso), y queda:
p(X ≤ 3) = F(3) = (1/4)*3 - 1/2 = 3/4 - 1/2 = 1/4;
p(X > 3) = 1 - p(X ≤ 3) = 1 - F(3) = 1 - 1/4 = 3/4;
p(4 < X < 5) = F(5) - F(4) = ( (1/4)*5 - 1/2 ) - ( (1/4)*4 - 1/2 ) = 3/4 - 1/2 = 1/4,
y observa que en el segundo desarrollo comenzamos aplicando la propiedad de la probabilidad del suceso complementario.
Espero haberte ayudado.