
Derivas la expresión de la función vectorial para cada parámetro, y queda:
Xu(u,v) = < -senu , cosu , 0 > (1),
Xv(u,v) = < 0 , 0 , 1 >;
luego, evalúas ambas expresiones para el punto en estudio, cuyos valores paramétricos tienes en tu enunciado, y queda:
Xu(0,1) = < 0 , 1 , 0 >,
Xv(0,1) = < 0 , 0 , 1 >;
luego, planteas la expresión de un vector normal a la superficie en el punto en estudio como el producto vectorial entre estos dos vectores, y queda:
N(0,1) = Xu(0,1) x Xv(0,1) = < 1 , 0 ,0 >;
luego, con la expresión del vector normal que tienes remarcada, y con las coordenadas del punto en estudio que tienes en tu enunciado: A(1,0,1), planteas la ecuación cartesiana del plano tangente, y queda:
1*(x-1) + 0*(y-0) + 0*(z-1) = 0, cancelas términos nulos, resuelves el primer término, y queda:
x - 1 = 0, sumas 1 en ambos miembros, y queda:
x = 1.
Espero haberte ayudado.

Tienes una función cuadratica donde la x está comprendida entre [-4,3]
El dominio de la función es todo R. Porque puede adoptar cualquier valor que este en ese intervalo.
El rango lo realizas haciendo el dominio de la función inversa, es decir, de la siguiente forma;
1) y=x2+2, dejar x
2) x=√y-2
3) Dom x= [2, +∞)
4) Por lo que el rango irá desde 2 hasta el infinito.
Espero que te sirva, un saludo.
hola buenas la varianza de un numero
Hola buenas tardes a todos, mas que un ejercicio solicito orientacion para consultar el metodo de heaviside para fracciones parciales,mas que las formulas y como usarlas quisera saber por que funcionan y como llegar a ellas.
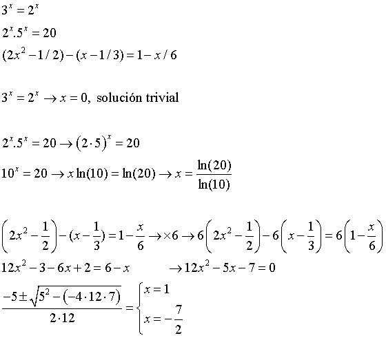
Hola. Alguien me podría ayudar con unas ecuaciones?
3^x=2^x
2^x.5^x=20
(2x^2-1/2)-(x-1/3)=1-x/6