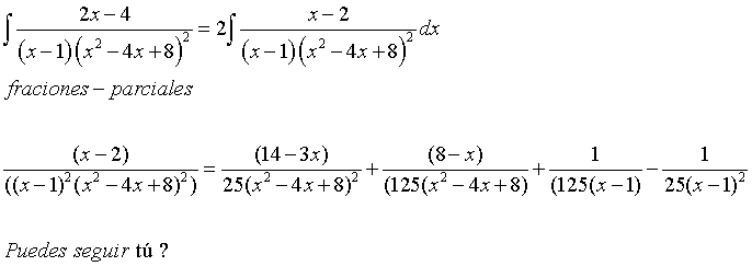
Seguro que hay una errata en la integral, pues la que pones no es de bachillerato,
hay que aplicar el método de Ostrogradski

Me encantaría ayudarte, pero no respondo dudas universitarias que no tengan que ver específicamente con los videos que ya he grabado como excepcion. O de otras asignaturas que no sean matemáticas, física y química. Lo siento de corazón… Espero lo entiendas
Ojalá algun unicoo universitario se anime a ayudarte (de hecho lo ideal es que todos los universitarios intentarais ayudaros los unos a los otros)
Hola, alguien me puede echar una mano?
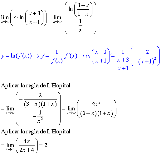
Tengo el limite de la foto, entonces tengo una duda, cuando voy aplicar l'Hopital, la derivada del logaritmo no se si derivarla con la formula de log o la de ln.
Hola, por favor necesito que alguien me explique este ejercicio. Es de 2ºESO.
He visto la solución pero no lo consigo entender.
Un panadero aparta cada semana, para el consumo de su familia, 1/100 de las barras de pan que fabrica. Si vende 3415 barras y regala lo que le sobra, 1/70 del total de barras, ¿cuántas barras de pan elabora?
Me podéis ayudar con el siguiente problema :
Después de gastar el 30% de su salario, Marcos se gasta el 20 % en ropa y calzado, quedándole así 800 euros. Calcula el salario total de Marcos.
Gracias de antemano

Puedes llamar x al salario de Marcos.
Luego, tienes que su primer gasto es:
G1 = 0,30*x (30 % de su salario),
por lo que todavía le queda:
0,70*x.
Luego, tienes que su segundo gasto es el 20 % de su salario, por lo que su segundo gasto es:
G2 = 0,20*x = 0,20*x,
y tienes que el sobrante es:
S = 800 euros.
Luego, tienes el salario de Marcos dividido en tres porciones (dos gastos y el sobrante), por lo que puedes plantear la ecuación:
x = G1 + G2 + S,
sustituyes las expresiones remarcadas, y queda:
x = 0,30*x + 0,20*x + 800, multiplicas por 10 en todos los términos de la ecuación, y queda:
10*x = 3*x + 2*x + 8000, reduces términos literales en el segundo miembro, y queda:
10*x = 5*x + 8000, restas 5*x en ambos miembros, y queda:
5*x = 8000, divides por 5 en ambos miembros, y queda:
x = 1600 euros;
por lo que tienes que sus gastos son:
G1 = 0,30*1600 = 480 euros,
G2 = 0,20*1600 320 euros,
por lo que el gasto total es:
G = 480 + 320 = 800 euros,
y el sobrante es también esta última suma, como establece tu enunciado.
Espero haberte ayudado.