Buenas tardes, quería saber si podeis ayudarme con este problema
Es que no se si tendría que aplicar el 1TFC para hacer la derivada de esa integral y asi poder hacer bolzano.
Pero no estoy segura, podríais decirme si es así.
Un saludo y gracias.

Tienes la expresión de la función:
F(x) = -1 + 0∫x et^2*dt,
cuyo dominio es el intervalo cerrado: D = [0,1].
Luego, observa que el argumento de la integral es la expresión de una función continua en D, por lo que dicha función continua es integrable en D (que no tenga primitiva elemental, es otra cuestión), por lo que su primitiva también es continua en D y, por lo tanto, tienes que la función F también lo es.
Luego, evalúas la expresión señalada (1) en los extremos del intervalo cerrado D, y queda:
F(0) = -1 + 0∫0 et^2*dt = -1 + 0 = -1 < 0,
F(1) = -1 + 0∫1 et^2*dt > 0 (observa que el argumento de la integral toma valores mayores o iguales que uno en D).
Luego, aplicas el Teorema Fundamental del Cálculo Integral, y la expresión de la derivada de la función F queda:
F ' (x) = 0 + ex^2*1 = ex^2 > 0 (recuerda que las expresiones exponenciales toman valores estrictamente positivos),
por lo que tienes que la función F es estrictamente creciente en el intervalo D.
Luego, como en el primer extremo del intervalo D tienes que la función F toma un valor negativo (F(0) = -1 < 0),
como tienes que en el segundo extremo toma un valor positivo (F(1) > 0),
y como tienes que la función F es continua en el intervalo (D = [0,1]),
entonces puedes concluir que existe un único valor c perteneciente al intervalo D, tal que F(c) = 0.
Espero haberte ayudado.
Buenas noches, la gráfica de esa cuadrica es un elipsoide con trazas circunferencia y 2 elipses? x2/4+y2/4+z2=1
Hola! Alguien me puede ayudar? desde ya muchísimas gracias!!! Saludos! Leily
Está bien este ejercicio del apartado 3)
Me falta el Q(x) no encuentro la raíz...
Hola Antonio! Tú me dices:
Te faltó ponerle un cuadrado a (x-2) para que quede (x-2)2 pues la raíz x=2 es doble (hay dos).
Además la raíz es x=2 y no -2 como dices
Luego que envié la foto me dí cuenta que x=2, gracias de nuevo!!!
y en Q(x) es 1/2..... Un nro. fraccionario puede ser raíz de un polinomio?

Observa que en la expresión del polinomio Q puedes extraer factro común -1, y queda:
Q(x) = -(x3 - (3/2)x2 + (3/4)x - 1/8);
luego, observa que la expresión que tienes en el agrupamiento es un cuatrinomio cubo perfecto, por lo que factorizas, y queda:
Q(x) = -(x - 1/2)3;
luego, observa que 1/2 es un cero triple de este polinomio,
por lo que tienes que en este caso este cero es un número racional.
Luego, en general, tienes que las raíces de un polinomio pueden ser números reales (enteros, racionales o irracionales), y puedes ser que te encuentres con polinomios que no tengan ceros reales (en este caso, los ceros son números complejos).
Espero haberte ayudado.
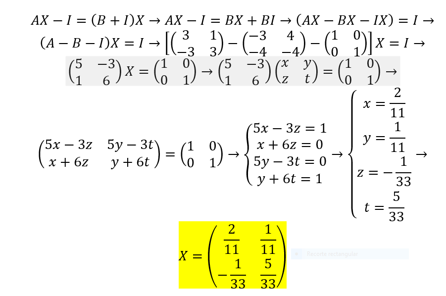
Hola Unicoos, en el metodo de Jacobi (TX+C) para hallar T he encontrado dos formulas:
quisiera saber en que difiere o afecta el signo negativo junto a la inversa de la diagonal, es esta una forma de asegurar convergencia?

¡Hola! Nos encantaría ayudarte, pero no solemos responder dudas universitarias que no tengan que ver específicamente con los vídeos que David Calle ha grabado como excepción. O de otras asignaturas que no sean Matemáticas, Física y Química. Lo sentimos de corazón… Esperamos que lo entiendas.
Ojalá algún unicoo universitario se anime a ayudarte (de hecho, lo ideal es que todos los universitarios intentarais ayudaros los unos a los otros).