Hola buenas, alguien podría ayudarme con el ejercicio 1 por favor ??? Son varias las soluciones que me da y no consigo llegar a una que sea medianamente correcta. Por favor .![]()

¡Hola! Nos encantaría ayudarte, pero no solemos responder dudas universitarias que no tengan que ver específicamente con los vídeos que David Calle ha grabado como excepción. O de otras asignaturas que no sean Matemáticas, Física y Química. Lo sentimos de corazón… Esperamos que lo entiendas.
Ojalá algún unicoo universitario se anime a ayudarte (de hecho, lo ideal es que todos los universitarios intentarais ayudaros los unos a los otros).
hola como se hace esto?
calcula el tamaño aparente A de un objeto para los siguientes valores de d:
0 0,5 1 1,5 1,9 1,99
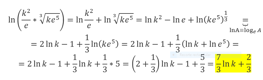
Buenas. Por favor, ¿alguien me podría ayudar con este ejercicio de logaritmos? Consta de 2 apartados: (Si no entendéis mi letra preguntadme, están copiados de la pizarra.)

Considera la expresión de un número complejo en forma polar (módulo-argumento): z = |z|θ.
Recuerda la Fórmula de De Moivre para las potencias:
z4 = ( |z|θ )4 = (|z|4)4*θ (1).
Recuerda la expresión del conjugado de un número complejo:
zc = ( |z|θ )c = |z|-θ (2).
Luego, planteas la expresión del conjugado del número complejo elevado a la cuarta potencia, y queda:
( z4 )c = sustituyes la expresión señalada (1), y queda:
= ( (|z|4)4*θ )c = aplicas la expresión señalada (2) (observa que se mantiene el módulo, pero queda el opuesto del argumento), y queda:
= (|z|4)-4*θ (3).
Luego, como el argumento del número complejo inicial es: θ = π/3, tienes que el argumento del número complejo resultante es:
φ = -4*π/3 = sumas un giro en el argumento (recuerda que obtienes un argumento equivalente) = -4*π/3 + 2*π = 2*π/3,
por lo que tienes que la opción señalada (c) es la respuesta correcta.
Espero haberte ayudado.
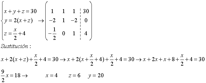
Hola buenas, verán, tengo un problema (literalmente hablando) que a la hora de resolver me aparecen cosas contradictorias.
El enunciado es el siguiente (problema 3): ![]()
Mi problema surge porque a la hora de solucionar, he utilizado el método de Gauss (es el objetivo de estos problemas) y me he encontrado con que Hay 12 para Lanzarote y 20 para Gran Canaria, es evidente que algo he hecho mal pero ¿podrían indicarme el qué es?
Hola, en el siguiente ej de probabilidad
La probabilidad de que en un mes dado un cliente de una gran superficie compre un producto A es de 0,6. La probabilidad de que compre un producto B es de 0,5. Se sabe que la probabilidad de que un cliente compre el producto B no comprando el producto A é 0,4.
- P(solo comprar B)
- P(No comprar ni A ni B)
El primero lo he resuelto haciendo P(ByA´)=P(B/A´)*P(B)
El segundo no lo tengo muy claro :-(
Gracias!!!!

Tienes los datos:
p(A) = 0,6,
p(B) = 0,5,
p(-A y B) = 0,4.
Luego, observa el diagrama:
A partir de él tienes:
p(A y B) = p(B) - p(-A y B) = 0,5 - 0,4 = 0,1,
p(A y -B) = p(A) - p(A y B) = 0,6 - 0,1 = 0,5;
luego, puedes plantear:
p(A o B) = p(A) + p(B) - p(A y B) = 0,6 + 0,5 - 0,1 = 1;
luego, tienes para la probabilidad que piden en tu enunciado:
p(-A y -B) = p( -(A o B) ) = 1 - p(A o B) = 1 - 1 = 0.
Espero haberte ayudado.

Cuando tienes que dos sucesos (A y B) ocurren al mismo tiempo, tienes la probabilidad: p(A y B);
pero cuando tienes que el suceso A ocurre sabiendo que ha ocurrido el suceso B, tienes la probabilidad condicional: p(A|B).
Luego, recuerda la definición de probabilidad condicional:
p(A|B) = p(A y B) / p(B).
Y recuerda que si los sucesos A y B son independientes, tienes la relación entre las probabilidades:
p(A|B) = p(A),
sustituyes la expresión de la probabilidad condicional en el primer miembro, y queda:
p(A y B) / p(B) = p(A),
multiplicas en ambos miembros por p(B), y queda:
p(A y B) = p(A)*p(B).
En el problema que propones, tienes que "la probabilidad de que un cliente compre el producto B no comprando el producto A es 0,4",
y la hemos considerado como la probabilidad de la ocurrencia al mismo tiempo de los sucesos B y complemento de A (-A).
Pero, si en el enunciado estuviera la oración: "la probabilidad de que un cliente compre el producto B sabiendo que no compró el artículo A", ahí sí tendrías que plantear la probablidad condicional, y quedaría:
p(B|-A) = p(-A y B) / p(B) = 0,4/0,5 = 0,8.
Espero haberte ayudado.