Foro de preguntas y respuestas de Matemáticas

logo beUnicoos
Los foros de unicoos se han unificado en nuestra nueva plataforma beUnicoos. Para dejar nuevas preguntas deberás hacerlo allí, donde además podrás encontrar nuevas asignaturas y herramientas para ayudarte más con tus estudios.

  • icon

    necronomicion00
    el 8/12/18

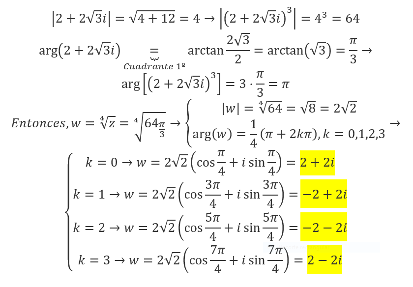
    ¿Cual es la solución de esta operación? Me piden el valor de a.

    replythumb_up0 voto/sflag
    icon

    Antonius Benedictus
    el 8/12/18

    Pon foto del enunciado original, por favor.


    thumb_up0 voto/sflag
    icon

    necronomicion00
    el 9/12/18

    Te pide encontrar el valor de a, para esa integral definida.

    thumb_up0 voto/sflag
  • icon

    Sol
    el 8/12/18

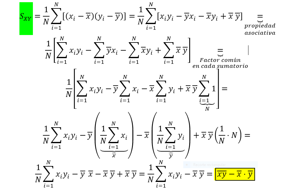
    Buenas noches, era por si podríais ayudarme con este ejercicio de estadística descriptiva. Perdonen las molestias y gracias.

    replythumb_up0 voto/sflag
    icon

    Antonius Benedictus
    el 8/12/18


    thumb_up1 voto/sflag
    icon

    Sol
    el 8/12/18

    Muchísimas gracias!!!😄

    thumb_up1 voto/sflag
  • icon

    Laura
    el 8/12/18

    Hola, tengo que definir derivada parcial de una funcion z=f (x,y) respecto de una de sus variables, es para un examen y no encuentro una definición, me ayudarían por favor? Gracias 

    replythumb_up0 voto/sflag
    icon

    Antonius Benedictus
    el 8/12/18

    https://es.khanacademy.org/math/multivariable-calculus/multivariable-derivatives/partial-derivative-and-gradient-articles/a/introduction-to-partial-derivatives

    thumb_up1 voto/sflag
  • icon

    Y3
    el 8/12/18

    Hola me podeís ayudar con este ej. por favor?

    Halla el valor exacto de las siguientes razones trigonométricas:

    a) sen1215 grados


    replythumb_up0 voto/sflag
    icon

    Antonius Benedictus
    el 8/12/18


    thumb_up0 voto/sflag
    icon

    Y3
    el 8/12/18

    MIL GRACIAAAAAAAAAAAAAAAAS


    thumb_up1 voto/sflag
  • icon

    Martina
    el 8/12/18

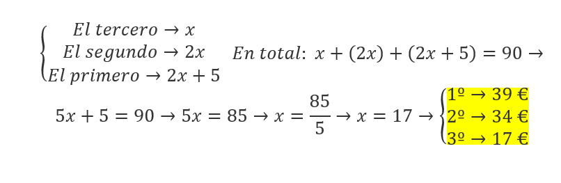
    Me podeis ayudar con este problema. Tres niños tienen en total 90 euros . calcular cuanto tiene cada uno sabiendo que uno tiene 5 euros mas que otro y este el doble del tercero. gracias

    replythumb_up0 voto/sflag
    icon

    César
    el 8/12/18

    x  uno

    el doble otro  2x

    otro 2x+5

    x+2x+2x+5=90      5x=85     x=17


    thumb_up1 voto/sflag
    icon

    Antonius Benedictus
    el 8/12/18


    thumb_up1 voto/sflag
  • icon

    Sara Valderas
    el 8/12/18

    Me podéis ayudar con este problema?

    replythumb_up0 voto/sflag
    icon

    Antonius Benedictus
    el 8/12/18

    Saluti e buona sera.


    thumb_up0 voto/sflag
  • icon

    Martina
    el 8/12/18

    hola me podias resolver este problema de examen.

    Expresa mediante un binomio el perímetro de un triangulo isosceles cuyos lados iguales superan en 1 cm al triple del lado desigual. Calcula su valor si el lado desigual mide 2 cm

    replythumb_up0 voto/sflag
    icon

    Antonius Benedictus
    el 8/12/18


    thumb_up0 voto/sflag
  • icon

    Amin zine
    el 8/12/18

    Hola me podrían ayudar con este ejercicio que no se hacer.

    0,0https://www.unicoos.com/img/foros/189648_b35ec96470682e8e774f49e33936dec7.png


    replythumb_up0 voto/sflag
    icon

    Antonius Benedictus
    el 8/12/18


    thumb_up0 voto/sflag
    icon

    Antonius Benedictus
    el 8/12/18



    thumb_up0 voto/sflag
  • icon

    Pamela Zambrano
    el 8/12/18

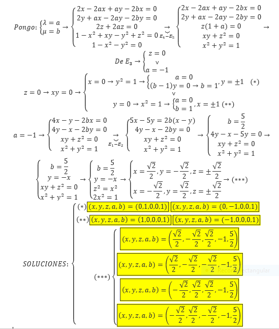
    ¿Podrían ayudarme a resolver el sistema de ecuaciones no lineales en R? Las incógnitas son x, y, z, λ, μ

    replythumb_up0 voto/sflag
    icon

    Antonius Benedictus
    el 8/12/18


    thumb_up0 voto/sflag
  • icon

    Missis JPlus
    el 8/12/18

    No entiendo cómo se resuelve el ejercicio, ¿alguien me echa un cable?. Gracias de antemano.


    EL TRIÁNGULO RECTÁNGULO. Se tiene un triángulo rectángulo cuyos lados miden,

    respectivamente, 12, 16 y 20 (cm). Si el cateto menor experimenta un aumento del 18% y el

    mayor experimenta una disminución del 18 % ¿qué variación porcentual experimenta el área

    de dicho triángulo? ¿Y su perímetro?

    p.p1 {margin: 0.0px 0.0px 0.0px 0.0px; font: 12.0px Helvetica}

    a) –3,24 % y –2,96 %, respectivamente.¿Por qué?

    replythumb_up0 voto/sflag
    icon

    Antonius Benedictus
    el 8/12/18


    thumb_up1 voto/sflag