Foro de preguntas y respuestas de Matemáticas

logo beUnicoos
Los foros de unicoos se han unificado en nuestra nueva plataforma beUnicoos. Para dejar nuevas preguntas deberás hacerlo allí, donde además podrás encontrar nuevas asignaturas y herramientas para ayudarte más con tus estudios.

  • icon

    Adrián Carbajales
    el 9/12/18

    De las siguientes imágenes la primera me coincide con la solución menos la última fracción y me quede pillado en la 25 

    replythumb_up0 voto/sflag
    icon

    Antonius Benedictus
    el 9/12/18


    thumb_up0 voto/sflag
  • icon

    Laura
    el 9/12/18

    Holaa! Me podéis ayudar con el siguiente ejercicio de análisis?

    Muchas gracias!

    replythumb_up0 voto/sflag
    icon

    Antonius Benedictus
    el 9/12/18


    thumb_up1 voto/sflag
  • icon

    Leilyta Banegas
    el 9/12/18

    Hola!

    Alguien me puede ayudar con estos dos ejercicios?

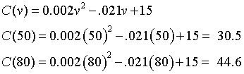
    1) En centavos por km, el costo de conducir un automóvil a una velocidad v se aproxima por medio de la función polinómica v: C(v)=0,002 v2 - 0,21v + 15 ¿Cuánto cuesta conducir un automóvil a 50 km/h? ¿Y a 80 km/h?

     

    2) Me piden: Indica cuáles de las siguientes expresiones son polinomios, en tal caso dar su grado.

    Ya hice varios de este tipo de ejercicios y todos están bien … Pero tengo duda con estos dos,

    1-       Raíz cuadrada de (x-3)

    2-      4x4 – 2x3 +3/x

    Gracias desde ya y saludos!

    Leily 


    replythumb_up0 voto/sflag
    icon

    Antonius Benedictus
    el 9/12/18

    ¿Puedes poner fotos de los enunciados originales?

    thumb_up0 voto/sflag
    icon

    ALOFRE
    el 9/12/18

    En el 2 el 1 no es un polinomio por que n, su grado no es un número natural, sino racional (1/2)

    En el 2 el 2 no es un polinomio pues una x está elevada a -1 que es un entero no natural

    thumb_up0 voto/sflag
    icon

    Leilyta Banegas
    el 9/12/18

    Gracias Antonio!

    Son los dos primeros ejercicios...

    De nuevo muchas gracias

    thumb_up0 voto/sflag
    icon

    César
    el 9/12/18


    thumb_up0 voto/sflag
    icon

    Antonius Benedictus
    el 9/12/18


    thumb_up1 voto/sflag
  • icon

    Adrián Carbajales
    el 9/12/18

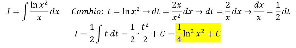
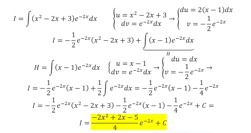
    No me salieron estas integrales 

    replythumb_up0 voto/sflag
    icon

    Antonius Benedictus
    el 9/12/18


    thumb_up0 voto/sflag
    icon

    Antonius Benedictus
    el 9/12/18


    thumb_up0 voto/sflag
    icon

    Antonius Benedictus
    el 9/12/18


    thumb_up0 voto/sflag
  • icon

    Tere Arema
    el 9/12/18

    alguien me puede resolver esto?

    calcula la inversa por Gauss de la matriz 

    1    2

    -2  -4

    replythumb_up0 voto/sflag
    icon

    Antonius Benedictus
    el 9/12/18

    https://matrixcalc.org/es/

    thumb_up0 voto/sflag
  • icon

    Rocio Redero Conde
    el 9/12/18

    Por qué sale además la x en el resultado de la integral(subrayado en verde). gracias.

    replythumb_up0 voto/sflag
    icon

    Antonius Benedictus
    el 9/12/18

    Creo que está mal:


    thumb_up0 voto/sflag
    icon

    Rocio Redero Conde
    el 9/12/18

    Gracias Antonio. Yo he obtenido como resultado diferente al tuyo.

    -cotag x -tag x + C


    thumb_up0 voto/sflag
  • icon

    Rocio Redero Conde
    el 8/12/18

    Por favor como en el caso anterior tengo la siguiente integral y me gustaría una solución pero sin utilizar partes o cambio de variable. Gracias( es la que tiene el círculo)

    replythumb_up0 voto/sflag
    icon

    Daniel Becker
    el 9/12/18

    Una forma es que dividas el polinomio para obtener una fracción propia y luego la integras por fracciones parciales (por si sabes hacer ese método)

    thumb_up0 voto/sflag
  • icon

    Adrián Carbajales
    el 8/12/18

    Me podeis mirar si estos limites están bien , la mayoría de este estilo me salen pero con estos no me siento seguro 

    replythumb_up0 voto/sflag
    icon

    Antonius Benedictus
    el 9/12/18


    thumb_up0 voto/sflag
  • icon

    Daniel Wenli
    el 8/12/18

    Yo para demostrarlo hice lo siguiente:

    a= a1i +a2j    b= b1i+b2j   c= c1i + c2j  + d= d1i + d2j 


    axb = a1b2k -  a2b1k   cxd = c1d2k - c2d1k ==>  (axb).(cxd)= (a1b2k -  a2b1k).(c1d2k - c2d1k) = a1c1b2d2 - a1b2c2d1 - a2b1c1d2 + a2b1c2d1


    a.c = a1c1 + a2c2  b.d= b1d1 + b2d2    ===> (a.c)(b.d) = a1c1b1d1+ a1c1b2d2 + a2c2b1d1 + a2c2b2d2   

    a.d = a1d1 + a2d2 b.c = b1c1 + c2d2    ===> (a.d)(b.c) = a1b1c1d1 + a1d1b2c2 + a2d2b1c1 + a2d2b2c2

    (a.c)(b.d) - (a.d)(b.c) =   a1c1b1d1+ a1c1b2d2 + a2c2b1d1 + a2c2b2d2 - (a1b1c1d1 + a1d1b2c2 + a2d2b1c1 + a2d2b2c2) = a1c1b2d2 + a2c2b1d1 - a1d1b2c2 - a2d2b1c1

    Entonces efectivamente:  (axb).(cxd) = (a.c)(b.d) - (a.d)(b.c)


    Pero no estoy seguro ¿me podrian decir si mi procedimiento es correcto y de no serlo decirme como se hace? (tambien si se puede hacer de una manera mas simple me gustaria saberlo) 

    replythumb_up0 voto/sflag
    icon

    Antonius Benedictus
    el 9/12/18


    thumb_up0 voto/sflag
  • icon

    dAmian
    el 8/12/18

    hola me podéis ayudar?

    replythumb_up1 voto/sflag
    icon

    Antonius Benedictus
    el 8/12/18