Buenas tardes,
Alguien me podría decir el dominio de ln √x^2-4/√x ?

Un logaritmo existe en R, en cualquier base, siempre que su argumento sea mayor que 0
Es decir, f(x) = ln(g(x)) existe para todo x que cumpla que g(x) > 0. Y ese es su dominio. (en los Reales)
Debes estudiar el signo de su argumento para hallar su dominio.
La función que planteas no me queda del todo clara, puedo suponer paréntesis en diferentes posiciones. Si puedes expresarla con paréntesis podría responder tu caso en particular.

f(x) = ln(√(x2 -4) / √x)
g(x) = √(x2 -4) / √x
√x ≥ 0 para todo x ≥ 0. Dividiendo no varia el signo. Para que g exista, x > 0 para comenzar.
Signo de √(x2 -4) => √(x2 -4) = 0 = x2 - 4 = 0 => x2 = 4 => x = ±2 y el signo es + | ∉ a R | +
Por tanto, para que el argumento g exista y sea mayor que 0, x > 2
Dom(f) = { x > 2, x ∈ R}Hola el limite de cuando x tiende a infinito de [√(x∧2+x)-x] no tendría que dar -infinito directamente y ya estaría?. Ya que el segundo factor tiene denominador mas grande que el primero. Sin embargo mi profesor lo desarrollo mas y le da 1/2.
Hola, me podéis ayudar con este ejercicio?, gracias.
Para construir una casa se emplea la tercera parte del tiempo en cimentar, la mitad del resto en levantar las paredes, los tres cuartos del resto en poner el tejado y 10 días en instalar la cocina, puertas y sanitarios.
a)¿Cuánto tiempo ha durado la obra en total?
b) ¿Cuánto tiempo se ha empleado en cada trabajo?

Puedes llamar x al tiempo total que se ha empleado para construir la casa;
luego, tienes en tu enunciado:
Tiempo empleado en cimentar: x/3 (observa que todavía resta: x - x/3 = 2x/3),
Tiempo empleado en levantar las paredes: (1/2)(2x/3) = x/3 (observa que todavía resta: x - x/3 - x/3 = x/3),
Tiempo empleado en poner el tejado: (3/4)(x/3) = x/4,
Tiempo empleado en instalar la cocina, puertas y sanitarios: 10 días.
Luego, observa que la suma de los tiempos empleados en las cuatro etapas es igual al tiempo total, por lo que puedes plantear la ecuación:
x/3 + x/3 + x/4 + 10 = x, multiplicas por 12 en todos los términos de la ecuación, y queda:
4x + 4x + 3x + 120 = 12x, reduces términos semejantes en el primer miembro, y queda:
11x + 120 = 12x, restas 11x en ambos miembros, y queda:
120 días = x.
Luego, observa que en las cuatro etapas se han empleado:
40 dìas (en la primera), 40 días (en la segunda), 30 días (en la tercera) y 10 días (en la cuarta).
Espero haberte ayudado.

Vamos con cada uno de ellos:
5 es natural (y, por lo tanto, también es entero, racional y real),
√(12) es irracional (y, por lo tanto, también es real),
-3 es entero (y, por lo tanto, también es racional y real),
5/7 es racional (y, por lo tanto, también es real),
0,5 = 5/10 = 1/2 es racional (y, por lo tanto, también es real),
-4/2 = -2 es entero (y, por lo tanto, también es racional y real).
Luego, para poder ordenarlos en forma creciente y sin emplear calculadora, puedes expresar a todos los números que no son raíces cuadradas irracionales como raíces cuadradas de sus cuadrados, y quedan:
5 = √(25),
√(12),
-3 = -√(9),
5/7 = √(25/49),
0,5 = √(1/4),
-4/2 = -√(4).
Luego, expresas a los argumentos de las raíces cuadradas con su denominador común (observa que es: 49*4 = 196), y quedan:
5 = √(25*196/196) = √4900/196),
√(12) = √(12*196/196) = √(2352/196),
-3 = -√(9*196/196) = -√(1764/196)
5/7 = √(25*4/196) = √(100/196),
0,5 = √(1*49/196) = √(49/196),
-4/2 = -√(4*196/196) = -√(784/196).
Luego, solo tienes que prestar atención a los signos de los números y a los numeradores de sus raíces cuadradas equivalentes, y queda la secuencia:
-3, -4/2, 0,5, 5/7, √(12), 5.
Espero haberte ayudado.
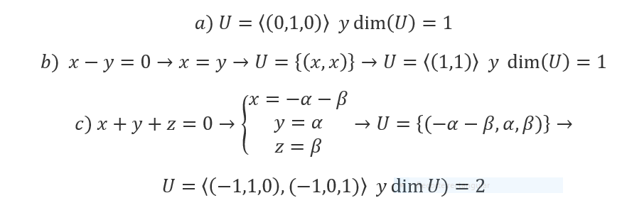
Como puedo determinar una base de un SEV y su dimensión? Por favor, ayuda con este ejercicio:
Para cada subespacio vectorial, determinar una base y su dimension.
• U = {(0, u, 0), con u ∈ R} ⊆ R3 .
• U = {(x, y), con x, y ∈ R, x − y = 0} ⊆ R2 .
• U = {(x, y, z), con x, y, z ∈ R, x + y + z = 0} ⊆ R3 .
Buenas, me podrian ayudar con este ejercicio?
Consideremos la funcion f(x) = x^2 sen x: a) Use la definicion para determinar el polinomio de Taylor de f(x), de orden
5 en el punto x0 = 0

A ver si con ésto te ayudo.
Tienes la expresión de la función:
f(x) = x2*senx (1),
y observa que la función es continua y derivable todas las veces que sean necesarias en R.
Luego, tienes el centro de desarrollo: x0 = 0, y observa que el primer factor de la expresión (x2 = (x-0)2) es una expresión polinómica que tiene ese centro de desarrollo, y es de grado dos, por lo que puedes plantear el desarrollo de Taylor para el segundo factor, hasta el orden tres:
g(0)(x) = senx, de donde tienes el primer coeficiente: b0 = g(0)(0)/0! = sen(0)/1 = 0/1 = 0,
g(1)(x) = cosx, de donde tienes el segundo coeficiente: b1 = g(1)(0)/1! = cos(0)/1 = 1/1 = 1,
g(2)(x) = -senx, de donde tienes el tercer coeficiente: b2 = g(2)(0)/2! = -sen(0)/2 = 0/2 = 0,